Source/Drain Bulk Junction Models
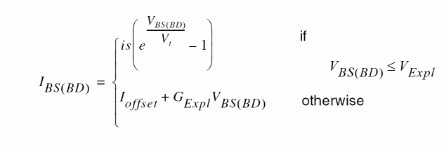
Junction Leakage Current
is the forward explosion voltage,
is the conductance at VExpl, and
is the linear extrapolated current at VBS(BD) = 0 from VExpl.
Bulk-Junction Bottom (Sidewall) Capacitance
These equations also apply to the sidewall capacitances with pb and fc replaced by fcsw and pbsw. If fcsw is not given, fc is used. If pbsw is not given, pb is used.
Drain and Source Area
The drain and source areas are calculated in the order shown in the following equations:
Drain and Source Perimeters
The drain and source perimeters are calculated in the order shown in the following equations:
Drain and Source Squares
The number of drain and source squares is calculated in the order shown in the following equations:
Junction Saturation Current
is always overrides js. If you give js but not is, the saturation currents are calculated from js and the source and drain areas.
Junction Capacitance
cbs (cbd) always overrides cj. If you do not give cbs (cbd) and cj is specified, cbs (cbd) is calculated from cj and the source (drain) area.
Drain and Source Parasitic Resistance
The diffusion resistance depends on the value you specify for the maxrsd parameter.
- If the parasitic resistance is more than the maxrsd value, the diffusion resistance is calculated as described above.
- If the parasitic resistance is less than the maxrsd value, the resistor is removed and the correction is added to the current as compensation. The correction is calculated as follows:




For more information on the maxrsd parameter, refer to spectre -h bsim4.
Overlap Capacitance
Related Topics
Source/Drain Bulk Junction Models
Temperature Effect on Model Parameters
Return to top
z


