Parameters Common to BSIM1 and BSIM2 Models
Electrical parameters that you specify override electrical parameters calculated with process parameters. The Spectre circuit simulator selects the default parameter value if you do not specify an electrical or a process parameter.
Channel Width and Length
Parameters Common to Levels 1-3 Only
This topic discusses parameters that are common to levels 1-3 only.
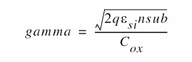
is the flat-band voltage and φMS is the work function difference between the gate material and the silicon substrate. With the following equations, the tpg (tps) parameter determines the value of φMS.
Eg is the energy gap whose equation is given later.
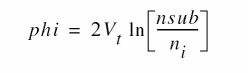
where ni is the intrinsic carrier concentration of silicon and Vt is the thermal voltage given by kT/q.
-
The consistency between kp, uo, and Cox(kp = uoCox) is checked according to the following rules:
- If tox is not given, Cox is calculated from the default value of tox.
- If kp is given, uo is calculated from uo = kp/Cox, whether uo is given or not. If this uo value is different from that specified in the model, a warning message tells you that the specified kp and uo values are inconsistent.
- If you do not give kp and uo is specified, kp is calculated from kp = uo * Cox.
- If neither kp nor uo is given, their default values are used.
In SPICE, if you give kp but not uo, uo is not calculated from kp. The default value of uo (600) is used. If you specify both kp and uo, SPICE does not check the consistency between them. In the Spectre circuit simulator, kp and uo are always consistent. This can cause the simulation results of the Spectre and SPICE simulators to be different. SPICE uses kp to evaluate the drain current (through the b term) while it uses uo to evaluate the drain saturation voltage VDSAT (if vmax is also specified).
Often only kp is specified in the model. SPICE then assigns a default value (600) to uo, but Spectre calculates uo from kp. This usually causes drain currents to be smaller in the Spectre simulator than in SPICE. If you need SPICE compatibility, you can setcompatibleto any option other thanspectre(for example,spice2,spice3,cdsspice, orspiceplus) in the .optionscard, and the Spectre simulator does not force uo to be consistent with kp. In SPICE, VDSAT is a function of (uo/vmax) rather than uo alone. Therefore, you can still make uo consistent with kp by proportionally adjusting the vmax value without changing the results. However, you should check the parameter extraction program to find out how uo and vmax are extracted before comparing SPICE and Spectre results or changing any of the model parameters. - If tox is not indicated in the Level-1 model, the intrinsic MOSFET gate capacitances are not calculated.
Related Topics
Source/Drain Bulk Junction Models
Temperature Effect on Model Parameters
Return to top
