Temperature Effect on Model Parameters
You can set both the model and the instance temperatures with the trise parameter. If the instance trise is specified, it overrides the model trise. The device temperature T is calculated by
where Tambient is the global temperature set by the simulator.
Mobility and Transconductance Parameters
where ute is the exponent parameter. Default value of ute is -1.5.
Energy Band Gap
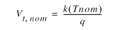
Surface Potential
Built-in Voltage of Source/Drain Junctions
Junction Leakage Currents
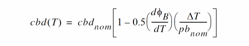
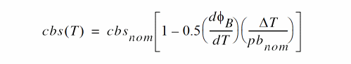
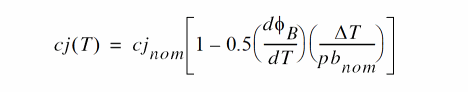
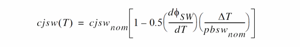
Junction Capacitances
Channel Length Modulation
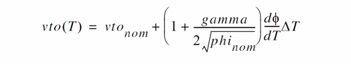
Threshold Voltage
Drain and Source Parasitic Resistance
Critical Field
Related Topics
Source/Drain Bulk Junction Models
Parameters Common to BSIM1 and BSIM2 Models
Return to top






