18
BSIM1 Level-4 Model (bsim1)
The BSIM1 model is based on the industry standard efforts of the Compact Modeling Counsel (CMC) and the BSIM modeling group at the University of California, Berkeley. Click to view the following links for information about the BSIM1 model:
BSIM1 stands for Berkeley Short-Channel IGFET Model version-1. The BSIM1 model is a semiempirical model suitable for devices with channel length from long channel to about 0.8 μm. This model extracts all model parameters directly from physical devices. You can obtain an automated parameter extraction program, based on the HP9836 and HP4145 systems, from the ILP office, Department of EECS, University of California, Berkeley. The following table shows the correspondence between the input parameter names and the equation symbols for the BSIM1 model.
|
Parameter
|
Symbol
|
Parameter
|
Symbol
|
Parameter
|
Symbol
|
|
vfb
|
VFB,0
|
lvfb
|
VFB,L
|
wvfb
|
VFB,W
|
|
phi
|
φ0
|
lphi
|
φL
|
wphi
|
φW
|
|
k1
|
K1
|
lk1
|
K1,L
|
wk1
|
K1,W
|
|
k2
|
K2
|
lk2
|
K2,L
|
wk2
|
K2,W
|
|
eta
|
η0
|
leta
|
ηL
|
weta
|
ηW
|
|
muz
|
μ0
|
dl
|
dl
|
dw
|
dw
|
|
u0
|
U0,0
|
lu0
|
U0,L
|
wu0
|
U0,W
|
|
u1
|
U1,0
|
lu1
|
U
1,L
|
wu1
|
U1,W
|
|
x2mz
|
μ0B,0
|
lx2mz
|
μ0B,L
|
wx2mz
|
μ0B,W
|
|
x2e
|
ηB,0
|
lx2e
|
ηB,L
|
wx2e
|
ηB,W
|
|
x3e
|
ηD,0
|
lx3e
|
ηD,L
|
wx3e
|
ηD,W
|
|
x2u0
|
U0B,0
|
lx2u0
|
U0B,L
|
wx2u0
|
U0B,W
|
|
x2u1
|
U1B,0
|
lx2u1
|
U1B,L
|
wx2u1
|
U1,B,W
|
|
mus
|
μs
|
lmus
|
μs,L
|
wmus
|
μs,W
|
|
x2ms
|
μsB,0
|
lx2ms
|
μsB,L
|
wx2ms
|
μsB,W
|
|
x3ms
|
μsD,0
|
lx3ms
|
μsD,L
|
wx3ms
|
μsD,W
|
|
x3u1
|
U1D,0
|
lx3u1
|
U1D,L
|
wx3u1
|
U1D,W
|
|
n0
|
N0,0
|
ln0
|
N0,L
|
wn0
|
N0,W
|
|
nb
|
NB,0
|
lnb
|
NB,L
|
wnb
|
NB,W
|
|
nd
|
ND,0
|
lnd
|
ND,L
|
wnd
|
ND,W
|
|
aio
|
Ai0
|
laio
|
Ai0,L
|
waio
|
Ai0,W
|
|
bio
|
Bi0
|
lbio
|
Bi0,L
|
wbio
|
Bi0,W
|
|
vdd
|
VDD
|
|
|
|
|
Parameter Calculation
Except for muz, dl, and dw, all device parameters are calculated from the following equation:
(18-1)
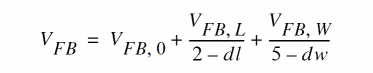
where Pi is any device parameter, Pi,0 is the parameter value for long channel length and width, and Pi,L and Pi,W are the channel length and width dependencies of the parameter, respectively. The following example shows how the flat-band voltage for a device with l = 2 μm and w= 5 μm is calculated from the model parameters:
(18-2)
Drain Current Model
Channel Width and Length
(18-3)
(18-4)
(18-5)
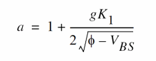
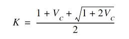
Threshold Voltage
(18-6)
where
(18-7)

Drain Saturation Voltage
(18-8)
where
(18-9)

(18-10)

(18-11)

(18-12)

Drain Current for the Subthreshold Region
If you specify that N0 is less than 10, the subthreshold current is calculated and added to the drain current.
(18-13)
where
(18-14)

(18-15)

(18-16)

The subthreshold current is added to the drain current.
(18-17)
Drain Current for the Triode Region
(18-18)
where
(18-19)

(18-20)

(18-21)

(18-22)

(18-23)

(18-24)

Drain Current for the Saturation Region
(18-25)
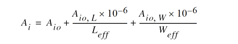
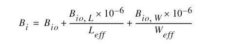
Substrate Current
The substrate current results from impact ionization in the velocity saturation region near the drain. This impact-ionization induced current (IDB) flows between the drain and the substrate. You need both Ai and Bi to use the impact-ionization model.
(18-26)
where
(18-27)

(18-28)

Scaling Effects
For scaling effects, see Scaling Factors (scale and scalem).
Component Statements
This device is supported within altergroups.
Sample Instance Statement
m1 (1 2 0 0) nchmod l=5u w=10u as=40u ad=40u pd=28u ps=28u m=1
Sample Model Statement
model nchmod bsim1 vfb0=-0.5 lvfb=0.5 wvfb=0.3 phi0=0.8 eta0=0.056 k1=0.5 muz=454 eg=0.99 gap1=5.5e-04 trs=1e-3 trd=1e-3 xpart=0.5 rs=10 rd=10
Instance Syntax
Name d g s b ModelName parameter=value ...
Instance Parameters
|
w
|
(m)
|
Channel width.
|
|
l
|
(m)
|
Channel length.
|
|
as
|
(m2)
|
Area of source diffusion.
|
|
ad
|
(m2)
|
Area of drain diffusion.
|
|
ps
|
(m)
|
Perimeter of source diffusion.
|
|
pd
|
(m)
|
Perimeter of drain diffusion.
|
|
nrd
|
(m/m)
|
Number of squares of drain diffusion.
|
|
nrs
|
(m/m)
|
Number of squares of source diffusion.
|
|
ld
|
(m)
|
Drain diffusion length.
|
|
ls
|
(m)
|
Source diffusion length.
|
|
m
|
1
|
Multiplicity factor (number of MOSFETs in parallel).
|
|
region
|
triode
|
Estimated operating region. Spectre generates output number (0-4) in a rawfile.Possible values are off, triode, sat, subth and breakdown.
|
|
trise
|
(C)
|
Temperature rise from ambient.
|
|
degradation
|
no
|
Hot-electron degradation flag.Possible values are no and yes.
|
|
isnoisy
|
yes
|
Should device generate noise.Possible values are no and yes.
|
Model Syntax
model modelName bsim1 parameter=value ...
Model Parameters
Device type parameters
|
type
|
n
|
Transistor type.Possible values are n and p.
|
Threshold voltage parameters
|
vfb0
|
-0.8 V
|
Flat-band voltage.
|
|
lvfb
|
0 V μm
|
Length dependence of vfb.
|
|
wvfb
|
0 V μm
|
Width dependence of vfb.
|
|
pvfb
|
0 V μm
|
Width-length dependence of vfb.
|
|
phi0
|
0.75 V
|
Surface potential.
|
|
lphi
|
0 V μm
|
Length dependence of phi.
|
|
wphi
|
0 V μm
|
Width dependence of phi.
|
|
pphi
|
0 V μm
|
Width-length dependence of phi.
|
|
k1
|
0.7 V
|
Body-effect coefficient.
|
|
lk1
|
0 V μm
|
Length dependence of k1.
|
|
wk1
|
0 V μm
|
Width dependence of k1.
|
|
pk1
|
0 V μm
|
Width-length dependence of k1.
|
|
k2
|
0
|
Charge-sharing parameter.
|
|
lk2
|
0 μm
|
Length dependence of k2.
|
|
wk2
|
0 μm
|
Width dependence of k2.
|
|
pk2
|
0 μm
|
Width-length dependence of k2.
|
|
eta0
|
0
|
Drain-induced barrier-lowering coefficient.
|
|
leta
|
0 μm
|
Length dependence of eta.
|
|
weta
|
0 μm
|
Width dependence of eta.
|
|
peta
|
0 μm
|
Width-length dependence of eta.
|
|
x2e
|
0 1/V
|
Body-bias dependence of eta.
|
|
lx2e
|
0 μm/V
|
Length dependence of x2e.
|
|
wx2e
|
0 μm/V
|
Width dependence of x2e.
|
|
px2e
|
0 μm/V
|
Width-length dependence of x2e.
|
|
x3e
|
0 1/V
|
Drain-bias dependence of eta.
|
|
lx3e
|
0 μm/V
|
Length dependence of x3e.
|
|
wx3e
|
0 μm/V
|
Width dependence of x3e.
|
|
px3e
|
0 μm/V
|
Width-length dependence of x3e.
|
Mobility parameters
|
muz
|
400 cm2/V s
|
Low-field mobility.
|
|
lmuz
|
0 cm2/V s
|
Length dependence of 'muz'.
|
|
wmuz
|
0 cm2/V s
|
Width dependence of 'muz'.
|
|
pmuz
|
0 cm2/V s
|
Width-length dependence of 'muz'.
|
|
x2mz
|
0 cm2/V2 s
|
Body-bias dependence of muz.
|
|
lx2mz
|
0 cm2 μm/V2 s
|
Length dependence of x2mz.
|
|
wx2mz
|
0 cm2 μm/V2 s
|
Width dependence of x2mz.
|
|
px2mz
|
0 cm2 μm/V2 s
|
Width-length dependence of x2mz.
|
|
mus
|
450 cm2/V s
|
Mobility in the saturation region.
|
|
lmus
|
0 cm2 μm/V s
|
Length dependence of mus.
|
|
wmus
|
0 cm2 μm/V s
|
Width dependence of mus.
|
|
pmus
|
0 cm2 μm/V s
|
Width-length dependence of mus.
|
|
x2ms
|
0 cm2/V2 s
|
Body-bias dependence of mus.
|
|
lx2ms
|
0 cm2 μm/V2 s
|
Length dependence of x2ms.
|
|
wx2ms
|
0 cm2 μm/V2 s
|
Width dependence of x2ms.
|
|
px2ms
|
0 cm2 μm/V2 s
|
Width-length dependence of x2ms.
|
|
x3ms
|
0 cm2/V2 s
|
Drain-bias dependence of mus.
|
|
lx3ms
|
0 cm2 μm/V2 s
|
Length dependence of x3ms.
|
|
wx3ms
|
0 cm2 μm/V2 s
|
Width dependence of x3ms.
|
|
px3ms
|
0 cm2 μm/V2 s
|
Width-length dependence of x3ms.
|
Mobility modulation parameters
|
u00
|
0 1/V
|
Gate voltage dependence of mobility.
|
|
lu0
|
0 μm/V
|
Length dependence of u0.
|
|
wu0
|
0 μm/V
|
Width dependence of u0.
|
|
pu0
|
0 μm/V
|
Width-length dependence of u0.
|
|
x2u0
|
0 1/V2
|
Body-bias dependence of u0.
|
|
lx2u0
|
0 μm/V2
|
Length dependence of x2u0.
|
|
wx2u0
|
0 μm/V2
|
Width dependence of x2u0.
|
|
px2u0
|
0 μm/V2
|
Width-length dependence of x2u0.
|
Velocity saturation parameters
|
u10
|
0 1/V
|
Velocity saturation coefficient.
|
|
lu1
|
0 μm/V
|
Length dependence of u1.
|
|
wu1
|
0 μm/V
|
Width dependence of u1.
|
|
pu1
|
0 μm/V
|
Width-length dependence of u1.
|
|
x2u1
|
0 1/V2
|
Body-bias dependence of u1.
|
|
lx2u1
|
0 μm/V2
|
Length dependence of x2u1.
|
|
wx2u1
|
0 μm/V2
|
Width dependence of x2u1.
|
|
px2u1
|
0 μm/V2
|
Width-length dependence of x2u1.
|
|
x3u1
|
0 1/V2
|
Drain-bias dependence of u1.
|
|
lx3u1
|
0 μm/V2
|
Length dependence of x3u1.
|
|
wx3u1
|
0 μm/V2
|
Width dependence of x3u1.
|
|
px3u1
|
0 μm/V2
|
Width-length dependence of x3u1.
|
Subthreshold parameters
|
n0
|
0
|
Subthreshold swing parameter.
|
|
ln0
|
0 μm
|
Length dependence of subthreshold swing parameter.
|
|
wn0
|
0 μm
|
Width dependence of subthreshold swing parameter.
|
|
pn0
|
0 μm
|
Width-length dependence of subthreshold swing parameter.
|
|
nb
|
0 V
|
Body-bias dependence of n0.
|
|
lnb
|
0 V μm
|
Length dependence of nb.
|
|
wnb
|
0 V μm
|
Width dependence of nb.
|
|
pnb
|
0 V μm
|
Width-length dependence of nb.
|
|
nd
|
0 1/V
|
Drain-bias dependence of n0.
|
|
lnd
|
0 μm/V
|
Length dependence of nd.
|
|
wnd
|
0 μm/V
|
Width dependence of nd.
|
|
pnd
|
0 μm/V
|
Width-length dependence of nd.
|
|
subthmod
|
2
|
Subthreshold model selector.
|
Impact ionization parameters
|
ai0
|
0 1/V
|
Hot-electron effect on Rout parameter.
|
|
lai0
|
0 μm/V
|
Length dependence of ai0.
|
|
wai0
|
0 μm/V
|
Width dependence of ai0.
|
|
pai0
|
0 μm/V
|
Width-length dependence of ai0.
|
|
bi0
|
0 V
|
Hot-electron effect on Rout exponent.
|
|
lbi0
|
0 V μm
|
Length dependence of bi0.
|
|
wbi0
|
0 V μm
|
Width dependence of bi0.
|
|
pbi0
|
0 V μm
|
Width-length dependence of bi0.
|
Length and width modulation parameters
|
dl0
|
0 μm
|
Lateral diffusion.
|
|
dw0
|
0 μm
|
Field oxide encroachment.
|
|
lref
|
infinity m
|
Reference channel length.
|
|
wref
|
infinity m
|
Reference channel width.
|
|
xw
|
0 m
|
Width variation due to masking and etching.
|
|
xl
|
0 m
|
Length variation due to masking and etching.
|
Temperature effects parameters
|
temp
|
(C)
|
Parameters measurement temperature. Default set by options.
|
|
trise
|
0 C
|
Temperature rise from ambient.
|
|
compatible
|
spectre
|
Encourage device equations to be compatible with a foreign simulator.This option does not affect the input synax.Possible values are spectre, spice2, spice3, cdsspice, hspice, spiceplus, eldo, sspice, mica, tispice and pspice.
|
|
tempmod
|
432
|
Temperature model selector.
|
|
version
|
432
|
Version selector.
|
|
uto
|
0 C
|
Mobility temperature offset.
|
|
ute
|
-1.5
|
Mobility temperature exponent.
|
|
tlev
|
0
|
DC temperature selector.
|
|
tlevc
|
0
|
AC temperature selector.
|
|
eg
|
1.12452 V
|
Energy band gap.
|
|
gap1
|
7.02e-4 V/C2
|
Band gap temperature coefficient.
|
|
gap2
|
1108 K
|
Band gap temperature offset.
|
|
trs
|
0 1/C
|
Temperature coefficient for source resistance.
|
|
trd
|
0 1/C
|
Temperature coefficient for drain resistance.
|
|
xti
|
3
|
Saturation current temperature exponent.
|
Overlap capacitance parameters
|
cgso
|
0 F/m
|
Gate-source overlap capacitance.
|
|
cgdo
|
0 F/m
|
Gate-drain overlap capacitance.
|
|
cgbo
|
0 F/m
|
Gate-bulk overlap capacitance.
|
|
meto
|
0 m
|
Metal overlap in fringing field.
|
Charge model selection parameters
|
capmod
|
bsim
|
Intrinsic charge model.Possible values are none, meyer, yang and bsim.
|
|
xpart
|
1
|
Drain/source channel charge partition in saturation for BSIM charge model, use 0.0 for 40/60, 0.5 for 50/50, or 1.0 for 0/100.
|
|
xqc
|
0
|
Drain/source channel charge partition in saturation for charge models, e.g. use 0.4 for 40/60, 0.5 for 50/50, or 0 for 0/100.
|
Parasitic resistance parameters
|
rs
|
0 Ω
|
Source resistance.
|
|
rd
|
0 Ω
|
Drain resistance.
|
|
rsh
|
0 Ω/sqr
|
Source/drain diffusion sheet resistance.
|
|
rsc
|
0 Ω
|
Source contact resistance.
|
|
rdc
|
0 Ω
|
Drain contact resistance.
|
|
rss
|
0 Ω m
|
Scalable source resistance.
|
|
rdd
|
0 Ω m
|
Scalable drain resistance.
|
|
minr
|
0.1 Ω
|
Minimum source/drain resistance.
|
|
hdif
|
0 m
|
Length of heavily doped diffusion.
|
|
ldif
|
0 m
|
Lateral diffusion beyond the gate.
|
|
lgcs
|
0 m
|
Gate-to-contact length of source side.
|
|
lgcd
|
0 m
|
Gate-to-contact length of drain side.
|
|
sc
|
infinity m
|
Spacing between contacts.
|
Junction diode parameters
|
js
|
(A/m2)
|
Bulk junction reverse saturation current density.
|
|
is
|
1e-14 A
|
Bulk junction reverse saturation current.
|
|
n
|
1
|
Junction emission coefficient.
|
|
imelt
|
`imaxA'
|
Explosion current, diode is linearized beyond this current to aid convergence.
|
|
jmelt
|
`jmaxA/m'2
|
Explosion current density, diode is linearized beyond this current to aid convergence.
|
|
dskip
|
yes
|
Use simple piece-wise linear model for diode currents below 0.1*iabstol.Possible values are no and yes.
|
Junction capacitance model parameters
|
cbs
|
0 F
|
Bulk-source zero-bias junction capacitance.
|
|
cbd
|
0 F
|
Bulk-drain zero-bias junction capacitance.
|
|
cj
|
0 F/m2
|
Zero-bias junction bottom capacitance density.
|
|
mj
|
1/2
|
Bulk junction bottom grading coefficient.
|
|
pb
|
0.8 V
|
Bulk junction potential.
|
|
fc
|
0.5
|
Forward-bias depletion capacitance threshold.
|
|
cjsw
|
0 F/m
|
Zero-bias junction sidewall capacitance density.
|
|
mjsw
|
1/3
|
Bulk junction sidewall grading coefficient.
|
|
pbsw
|
0.8 V
|
Side-wall junction potential.
|
|
fcsw
|
0.5
|
Side-wall forward-bias depletion capacitance threshold.
|
Operating region warning control parameters
|
alarm
|
none
|
Forbidden operating region.Possible values are none, off, triode, sat, subth and rev.
|
|
imax
|
1 A
|
Maximum current, currents above this limit generate a warning.
|
|
jmax
|
1e8 A/m2
|
Maximum current density, currents above this limit generate a warning.
|
|
bvj
|
infinity V
|
Junction reverse breakdown voltage.
|
|
vbox
|
1e9*tox V
|
Oxide breakdown voltage.
|
Process and power supply parameters
|
tox
|
4e-8 m
|
Gate oxide thickness.
|
|
vdd
|
5 V
|
Drain voltage at which parameters are extracted.
|
Default device parameters
|
w
|
3e-6 m
|
Channel width.
|
|
l
|
3e-6 m
|
Channel length.
|
|
as
|
0 m2
|
Area of source diffusion.
|
|
ad
|
0 m2
|
Area of drain diffusion.
|
|
ps
|
0 m
|
Perimeter of source diffusion.
|
|
pd
|
0 m
|
Perimeter of drain diffusion.
|
|
nrd
|
0 m/m
|
Number of squares of drain diffusion.
|
|
nrs
|
0 m/m
|
Number of squares of source diffusion.
|
|
ldd
|
0 m
|
Drain diffusion length.
|
|
lds
|
0 m
|
Source diffusion length.
|
Noise model parameters
|
noisemod
|
1
|
Noise model selector.
|
|
kf
|
0
|
Flicker (1/f) noise coefficient.
|
|
af
|
1
|
Flicker (1/f) noise exponent.
|
|
ef
|
1
|
Flicker (1/f) noise frequency exponent.
|
|
wnoi
|
1e-5 m
|
Channel width at which noise parameters were extracted.
|
Auto Model Selector parameters
|
wmax
|
1.0 m
|
Maximum channel width for which the model is valid.
|
|
wmin
|
0.0 m
|
Minimum channel width for which the model is valid.
|
|
lmax
|
1.0 m
|
Maximum channel length for which the model is valid.
|
|
lmin
|
0.0 m
|
Minimum channel length for which the model is valid.
|
Degradation parameters
|
degramod
|
spectre
|
Degradation model selector.Possible values are spectre and bert.
|
|
degradation
|
no
|
Hot-electron degradation flag.Possible values are no and yes.
|
|
dvthc
|
1 V
|
Degradation coefficient for threshold voltage.
|
|
dvthe
|
1
|
Degradation exponent for threshold voltage.
|
|
duoc
|
1 S
|
Degradation coefficient for transconductance.
|
|
duoe
|
1
|
Degradation exponent for transconductance.
|
|
crivth
|
0.1 V
|
Maximum allowable threshold voltage shift.
|
|
criuo
|
10%
|
Maximum allowable normalized mobility change.
|
|
crigm
|
10%
|
Maximum allowable normalized transconductance change.
|
|
criids
|
10%
|
Maximum allowable normalized drain current change.
|
|
wnom
|
5e-6 m
|
Nominal device width in degradation calculation.
|
|
lnom
|
1e-6 m
|
Nominal device length in degradation calculation.
|
|
vbsn
|
0 V
|
Substrate voltage in degradation calculation.
|
|
vdsni
|
0.1 V
|
Drain voltage in Ids degradation calculation.
|
|
vgsni
|
5 V
|
Gate voltage in Ids degradation calculation.
|
|
vdsng
|
0.1 V
|
Drain voltage in Gm degradation calculation.
|
|
vgsng
|
5 V
|
Gate voltage in Gm degradation calculation.
|
Spectre stress parameters
|
esat
|
1.1e7 V/m
|
Critical field in Vdsat calculation.
|
|
esatg
|
2.5e6 1/m
|
Gate voltage dependence of esat.
|
|
vpg
|
-0.25
|
Gate voltage modifier.
|
|
vpb
|
-0.13
|
Gate voltage modifier.
|
|
subc1
|
2.24e-5
|
Substrate current coefficient.
|
|
subc2
|
-0.1e-5 1/V
|
Substrate current coefficient.
|
|
sube
|
6.4
|
Substrate current exponent.
|
|
strc
|
1
|
Stress coefficient.
|
|
stre
|
1
|
Stress exponent.
|
BERT stress parameters
|
h0
|
1
|
Aging coefficient.
|
|
hgd
|
0 1/V
|
Bias dependence of h0.
|
|
m0
|
1
|
Aging exponent.
|
|
mgd
|
0 1/V
|
Bias dependence of m0.
|
|
ecrit0
|
1.1e5 V/cm
|
Critical electric field.
|
|
lecrit0
|
0 μm V/cm
|
Length dependence of ecrit0.
|
|
wecrit0
|
0 μm V/cm
|
Width dependence of ecrit0.
|
|
ecritg
|
0 1/cm
|
Gate voltage dependence of ecrit0.
|
|
lecritg
|
0 μm/cm
|
Length dependence of ecritg.
|
|
wecritg
|
0 μm/cm
|
Width dependence of ecritg.
|
|
ecritb
|
0 1/cm
|
Substrate voltage dependence of ecrit0.
|
|
lecritb
|
0 μm/cm
|
Length dependence of ecritb.
|
|
wecritb
|
0 μm/cm
|
Width dependence of ecritb.
|
|
lc0
|
1
|
Substrate current coefficient.
|
|
llc0
|
0 μm
|
Length dependence of lc0.
|
|
wlc0
|
0 μm
|
Width dependence of lc0.
|
|
lc1
|
1
|
Substrate current coefficient.
|
|
llc1
|
0 μm
|
Length dependence of lc1.
|
|
wlc1
|
0 μm
|
Width dependence of lc1.
|
|
lc2
|
1
|
Substrate current coefficient.
|
|
llc2
|
0 μm
|
Length dependence of lc2.
|
|
wlc2
|
0 μm
|
Width dependence of lc2.
|
|
lc3
|
1
|
Substrate current coefficient.
|
|
llc3
|
0 μm
|
Length dependence of lc3.
|
|
wlc3
|
0 μm
|
Width dependence of lc3.
|
|
lc4
|
1
|
Substrate current coefficient.
|
|
llc4
|
0 μm
|
Length dependence of lc4.
|
|
wlc4
|
0 μm
|
Width dependence of lc4.
|
|
lc5
|
1
|
Substrate current coefficient.
|
|
llc5
|
0 μm
|
Length dependence of lc5.
|
|
wlc5
|
0 μm
|
Width dependence of lc5.
|
|
lc6
|
1
|
Substrate current coefficient.
|
|
llc6
|
0 μm
|
Length dependence of lc6.
|
|
wlc6
|
0 μm
|
Width dependence of lc6.
|
|
lc7
|
1
|
Substrate current coefficient.
|
|
llc7
|
0 μm
|
Length dependence of lc7.
|
|
wlc7
|
0 μm
|
Width dependence of lc7.
|
Imax and Imelt:
The imax parameter aids convergence and prevents numerical overflow. The junction characteristics of the device are accurately modeled for current up to imax. If imax is exceeded during iterations, the linear model is substituted until the current drops below imax or until convergence is achieved. If convergence is achieved with the current exceeding imax, the results are inaccurate, and Spectre prints a warning.
A separate model parameter, imelt, is used as a limit warning for the junction current. This parameter can be set to the maximum current rating of the device. When any component of the junction current exceeds imelt, the base and collector currents are composed of many exponential terms, Spectre issues a warning and the results become inaccurate. The junction current is linearized above the value of imelt to prevent arithmetic exception, with the exponential term replaced by a linear equation at imelt.
Both of these parameters have current density counterparts, jmax and jmelt, that you can specify if you want the absolute current values to depend on the device area.
Auto Model Selection:
Many models need to be characterized for different geometries in order to obtain accurate results for model development. The model selector program automatically searches for a model with the length and width range specified in the instance statement and uses this model in the simulations.
For the auto model selector program to find a specific model, the models to be searched should be grouped together within braces. Such a group is called a model group. An opening brace is required at the end of the line defining each model group. Every model in the group is given a name followed by a colon and the list of parameters. Also, the four geometric parameters lmax, lmin, wmax, and wmin should be given. The selection criteria to choose a model is as follows:
lmin <= inst_length < lmax and wmin <= inst_width < wmax
Example:
model ModelName ModelType {
1: <model parameters> lmin=2 lmax=4 wmin=1 wmax=2
2: <model parameters> lmin=1 lmax=2 wmin=2 wmax=4
3: <model parameters> lmin=2 lmax=4 wmin=4 wmax=6
}
Then for a given instance
M1 1 2 3 4 ModelName w=3 l=1.5
the program would search all the models in the model group with the name ModelName and then pick the first model whose geometric range satisfies the selection criteria. In the preceding example, the auto model selector program would choose ModelName.2.
You must specify both length (l) and width (w) on the device instance line to enable automatic model selection.
Output Parameters
|
tempeff
|
(C)
|
Effective temperature for a single device.
|
|
weff
|
(m)
|
Effective channel width.
|
|
leff
|
(m)
|
Effective channel length.
|
|
rseff
|
(Ω)
|
Effective source resistance.
|
|
rdeff
|
(Ω)
|
Effective drain resistance.
|
|
aseff
|
(m2)
|
Effective area of source diffusion.
|
|
adeff
|
(m2)
|
Effective area of drain diffusion.
|
|
pseff
|
(m)
|
Effective perimeter of source diffusion.
|
|
pdeff
|
(m)
|
Effective perimeter of source diffusion.
|
|
isseff
|
(A)
|
Effective source-bulk junction reverse saturation current.
|
|
isdeff
|
(A)
|
Effective drain-bulk junction reverse saturation current.
|
|
cbseff
|
(F)
|
Effective zero-bias source-bulk junction capacitance.
|
|
cbdeff
|
(F)
|
Effective zero-bias drain-bulk junction capacitance.
|
|
vto
|
(V)
|
Effective zero-bias threshold voltage.
|
|
vfb
|
(V)
|
Effective flat-band voltage.
|
|
phi
|
(V)
|
Effective surface potential.
|
|
k1
|
(V )
|
Effective body-effect coefficient.
|
|
k2
|
|
Effective charge-sharing parameter.
|
|
eta
|
|
Effective DIBL coefficient.
|
Related Topics
MOS Level-2 Model (mos2)
MOS Level-3 Model (mos3)
BSIM2 Level-5 Model (bsim2)
BSIM3v2 Level-10 Model (bsim3)
Return to top