Product Documentation
Spectre Circuit Simulator Components and Device Models Reference
Product Version 23.1, June 2023

Reference

Model Description

Geometry Scaling and Stress Model for Intrinsic MOSFET

The physical geometry scaling rules of PSP have been developed to give a good description over the whole geometry range of CMOS technologies. As an alternative, the binning-rules can be used to allow for a more phenomenological geometry dependency.

The user has to choose between the two options; the geometrical scaling rules and the binning scaling rules cannot be used at the same time. In both cases, the result is a local parameter set (for a transistor of the specified L and W), which is fed into the local model.

Stress and well proximity effects are included in PSP. Use of the stress model and/or well proximity effect model leads to modification of some of the local parameters calculated from the geometrical or binning scaling rules.

Geometrical scaling rules

The physical scaling rules to calculate the local parameters from a global parameter set are given in this section.

Note:

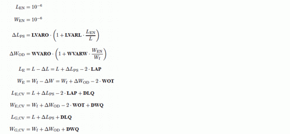
Effective length and width

Figure -1 Specification of the dimensions of a MOS transistor

If the calculated LE, WE, LE,CV, WE,CV, LG,CV, or WG,CV is smaller than 1 nm (10?9 m), the value is clipped to this lower bound of 1 nm.

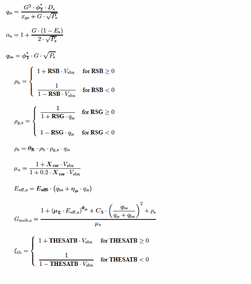
Process Parameters

DIBL Parameters

Series Resistance Parameters

Velocity Saturation Parameters

Saturation Voltage Parameter

Channel Length Modulation (CLM) Parameters

Impact Ionization (II) Parameters

Gate Current Parameters

Gate-Induced Drain Leakage (GIDL) Parameters

Charge Model Parameters

Noise Model Parameters

WPE Parameters

The parameter equations described in the above section are for Global Model. The equations for the Binning Model are described in the next section with similar headings and names.

Binning Equations

The binning equations are provided as a (phenomenological) alternative to the physical scaling equations for computing local parameters. The physical geometrical scaling rules have been developed to give a good description over the whole geometry range of CMOS technologies. For processes under development, however, it is sometimes useful to have more flexible scaling relation s. In that case on could opt for a binning strategy, where the accuracy with geometry is mostly determined by the number of bins used. The physical scaling rules of Section 3.2 are generally not suitable for binning strategies, since they may result in discontinuities in local parameter values at the bin boundaries. Consequently, special binning geometrical scaling relations have been developed, which guarantee continuity of the resulting local model parameters at the bin boundaries.

The binning equations are only calculated when SWGEO = 2.

Only four different types of binning scaling rules are used, which are based on first order developments of the geometrical scaling rules in terms of LE, 1/LE, WE, and 1/WE (examples below are for a fictitious parameter YYY):

In Table 23.1 a survey of the binning type used for each local parameter is given. In some cases where the geometrical scaling rule is constant, the binning rule is chosen to be more flexible.

When using the binning rules above, the binning parameters for one bin can be directly calculated from the local parameter sets of the four corner devices of the bin. This results in a separate parameter set for each bin. The binning scheme ensures that the local parameters are reproduced at the bin corners and that no humps occur in the local parameter values across bin boundaries.

After calculation of the local parameters from the binning rules (and possible applications of the stress equations and well proximity equations), clipping is applied according to Intrinsic Parameters for the model.

Table -1 Overview of local parameters and binnings type. the third column indicates whether there is a physical geometrical scaling rule for the local parameters.

Effective length and width

If the calculated LE, WE, LE,CV, WE,CV, LG,CV, or WG,CV is smaller than 1 nm (10?9 m), the value is clipped to this lower bound of 1 nm.

Process Parameters

DIBL Parameters

Mobility Parameters

Series Resistance Parameters

Velocity Saturation Parameters

Saturation Voltage Parameters

Channel Length Modulation (CLM) Parameters

Impact Ionization (II) Parameters

Gate Current Parameters

Gate Induced Drain Leakage (GIDL) Parameters

Charge Model Parameters

Noise Model Parameters

WPE Parameters

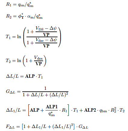
Parasitic resistances

PSP model contains a network of parasitic elements: a gate resistance, two diffusion resistances for source and drain, and four bulk resistances.

The junction diodes are no longer directly connected to the bulk terminal of the intrinsic MOS-transistor.

The complete circuit is shown in Figure 25-2. At this moment, only the gate resistance is scaled with geometry (facilitating the implementation of multi-finger devices).

The resistance equations are calculated when SWGEO = 1 or 2.

The values of Lf, Lsil,f , WE,f and XGWE are clipped to a minimum value of 1 nm. The calculated local parameters are subject to the boundaries specified in next section.

Figure -2 Parasitics Circuit

Stress effects

The stress model of BSIM4.4.0 has been adopted in PSP without any modifications, except for two changes:

  1. In the original BSIM parameter names all zeros have been replaced by “O”s, in order to comply with PSP conventions.
  2. The BSIM parameters STK2 and LODK2 are not available in PSP. Some trivial conversion of parameters BSIM-PSP is still necessary.

The local PSP parameters affected by the stress equations are BETN, THESAT, VFB, and CF. Calculation of SA and SB for irregular layouts is given separately.

Note:

Layout effects for multi-finger devices

For multi-finger devices, effective values SAeff and SBeff for the instance parameters are calculated.

Layout effects for regular shapes

Figure -3 A typical layout of multi-finger devices with additional instance parameters SD.

Figure -4 Typical layout of a MOSFET. LOD = SA + SB + L, where OD is the active region definition.

Parameter Modifications

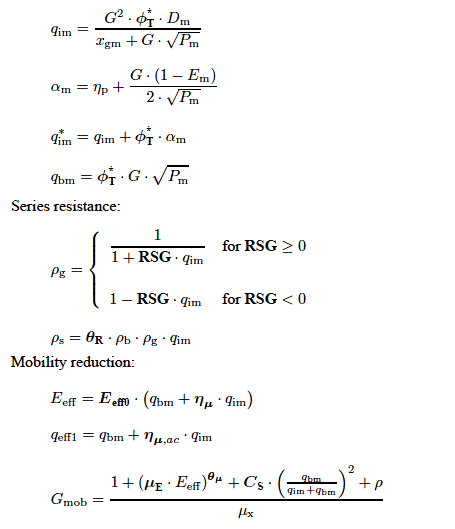
Mobility related equations

Threshold Voltage related equations

Well proximity effects

The well proximity effect (WPE) model from BSIM4.5.0 has been adopted in PSP with two changes relative to BSIM4.5.0: (1) in the original BSIM parameter names all zeros have been replaced by `O's in order to comply with PSP naming convention and (2) the BSIM parameter K2WE is not available in PSP. Except for some trivial conversion of parameters BSIM-PSP, WPE parameters from BSIM can be used directly in PSP.

The local PSP parameters affected by the WPE equations are VFB and BETN.

Note:

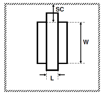
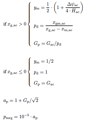
Parameters for pre-layout simulation

If SCA = SCB = SCC = 0 and SC > 0, SCA, SCB, and SCC will be computed from SC as shown below. Here, SC should be taken as the distance to the nearest well edge (see Figure below). If any of the parameters SCA, SCB, or SCC is positive, all three values as supplied will be used and SC will be ignored.

If SCA = SCB = SCC = 0 and SC > 0

Figure -5 A layout of MOS devices for pre-layout simulation using estimated value for SC.

Calculation of parameter modifications

The calculation of Kvthowe and Kuowe is given in Sections for Global Model or Binning Model.    

Asymmetric junctions

From PSP 102.3 onwards, asymmetric junction can be modeled in PSP. This includes asymmetric source-bulk and drain-bulk junctions, GIDL/GISL, overlap gate currents, overlap capacitances and outer fringe capacitances. The asymmetric junction model can be switched on by means of the parameter SWJUNASYM.

If SWJUNASYM = 1, the new parameters for the drain side are used all together.

Those whose values are not explicitly specified in the model card are set to their default value, not to their counterparts for the source side. In other words, it is not possible to activate the parameters for the drain side on a one-by-one basis. The physical scaling and binning rules to calculate the related local parameters for the drain side are given separately in this chapter.

If SWJUNASYM = 0, the related parameters for the drain side are ignored. Effectively, the following assignments are applied before evaluation of the calculations described in the next section.

PSP 103 Model Equations

Internal Parameters (including Temperature Scaling)

In this section, bias-independent internal parameters are calculated, including temperature scaling. These parameters are computed from local parameters. Local parameters are (as usual) denoted by capital characters in bold font, whereas the internal parameters are denoted by symbols in bold font.

Transistor temperature

Local process parameters

Polysilicon depletion parameter

Quantum-mechanical correction parameters

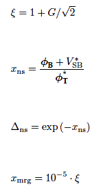
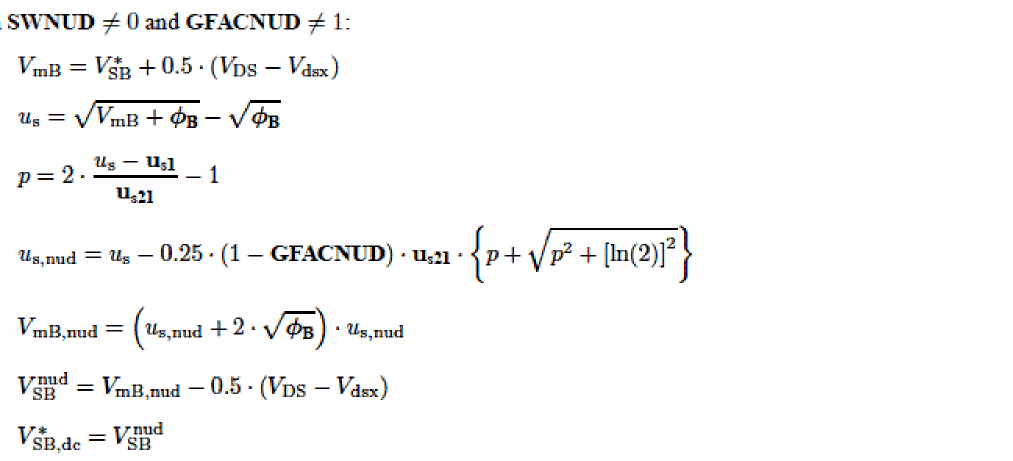
VSB-clipping parameters

NUD parameters

Local process parameters in gate overlap region

Mobility parameters

Series resistance parameter

Velocity saturation parameter

Impact-ionization parameter

Gate current parameters

Gate-induced drain leakage parameters

Noise parameter

Additional internal parameters

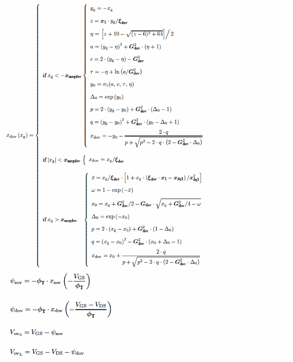
Current Model

In this section, the current model equations of the PSP-model are given. Use is made of the applied terminal bias values VGS, VDS and VSB, the local parameters listed in Section ’Intrinsic Parameters for the model’, and the internal parameters introduced in previous section. Local parameters are denoted by capital characters in bold font, whereas internal (bias-independent) parameters are denoted by symbols in bold font.

Depending on the value of the parameters SWNUD and SWDELVTAC, the surface potential (at source- and drain-side of the channel) and associated computations may be evaluated twice: once for the dc-characteristics and a second time for the ac-characteristics of the model. Details are given below.

Conditioning of Terminal Voltages

Nonuniform doping effect. are only evaluated when

The surface potential (at source- and drain-side of the channel) and associated computations are evaluated using

If SWNUD =  1 or SWDELVTAC =  1, calculations are done a second time using

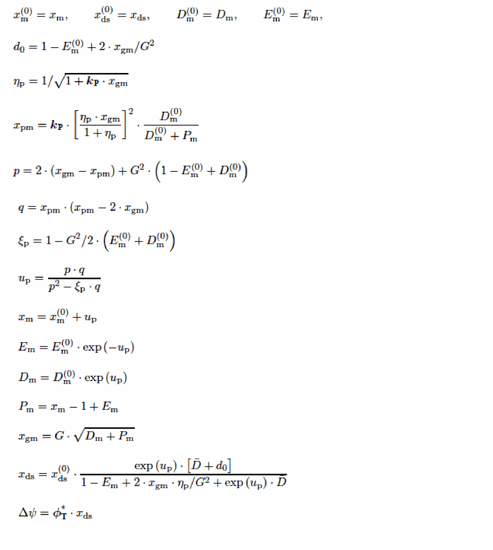
Bias-Dependent Body Factor

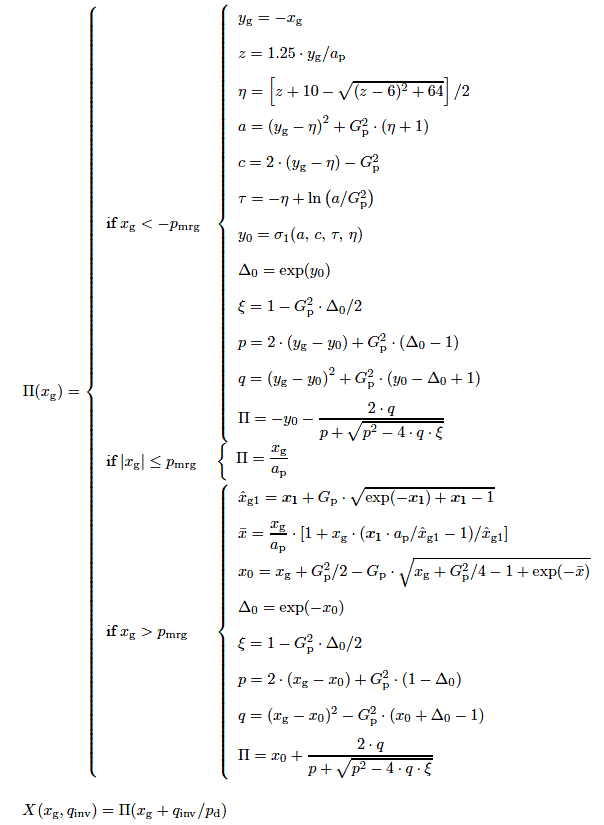
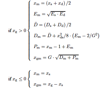
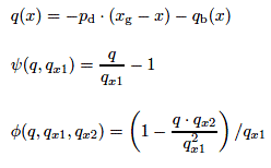
Surface Potential at Source Side and Related Variables

Calculations are only done for xg > 0.

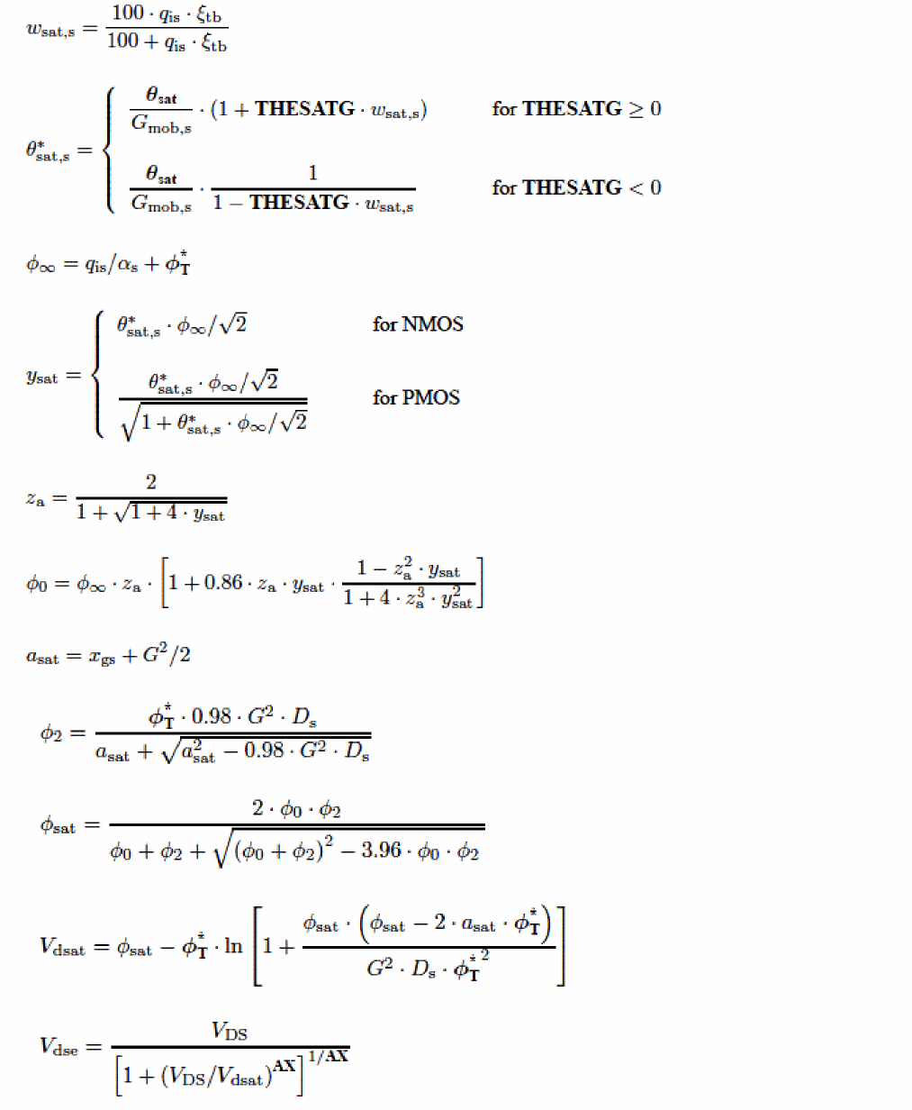
Drain Saturation Voltage

Calculations are only done for xg > 0.

Surface Potential at Drain Side and Related Variables

Calculations are only done for xg > 0.

Mid-Point Surface Potential and Related Variables

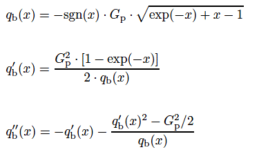
Polysilicon Depletion

Calculations are only done for kP > 0 and xg > 0 (otherwise np  = 1):

Potential Mid-Point Inversion Charge and Related Variables

Calculations are only done for xg > 0.    

Drain Source Channel Current

Calculations are only done for xg > 0

Channel Length Modulation

Velocity Saturation

Auxiliary Variables for Calculation of Intrinsic Charges and Gate Current. are only calculated for xg > 0.

In the remainder of this section, some variables (e.g. xg) are labeled 'dc' or 'ac' (e.g., xg,dc or xg,ac ). Variables labeled `dc' result from the first evaluation some calculations. For variables labeled 'ac', there are two possibilities. If SWNUD = 1 or SWDELVTAC = 1, their values result from the second evaluation od the same equations. In any other case, their value is equal to their 'dc'-counterpart.

This applies to the following variables:

Drain source channel current

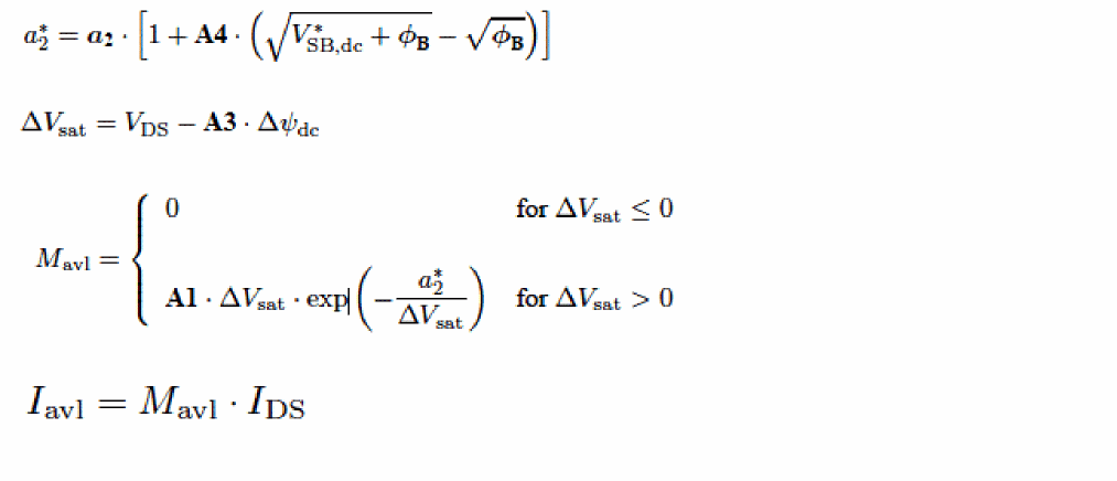
Impact Ionization or Weak-Avalanche

The equations in this section are only calculated when SWIMPACT = 1 and xg > 0.    

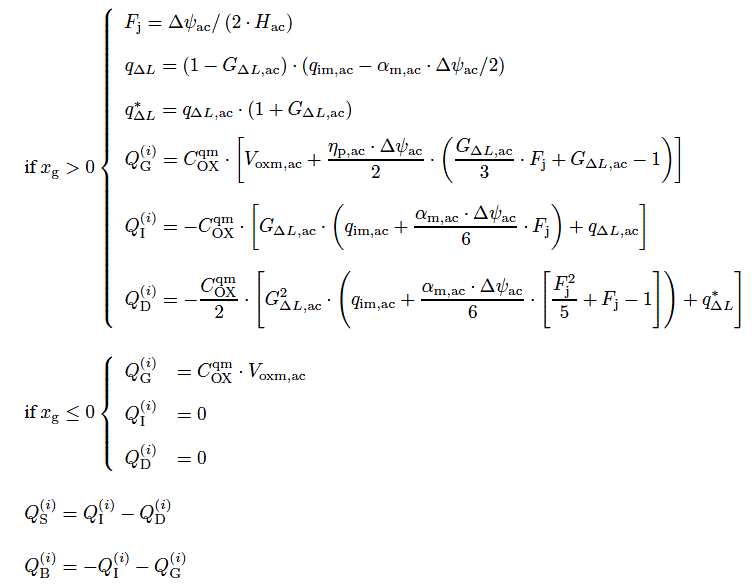
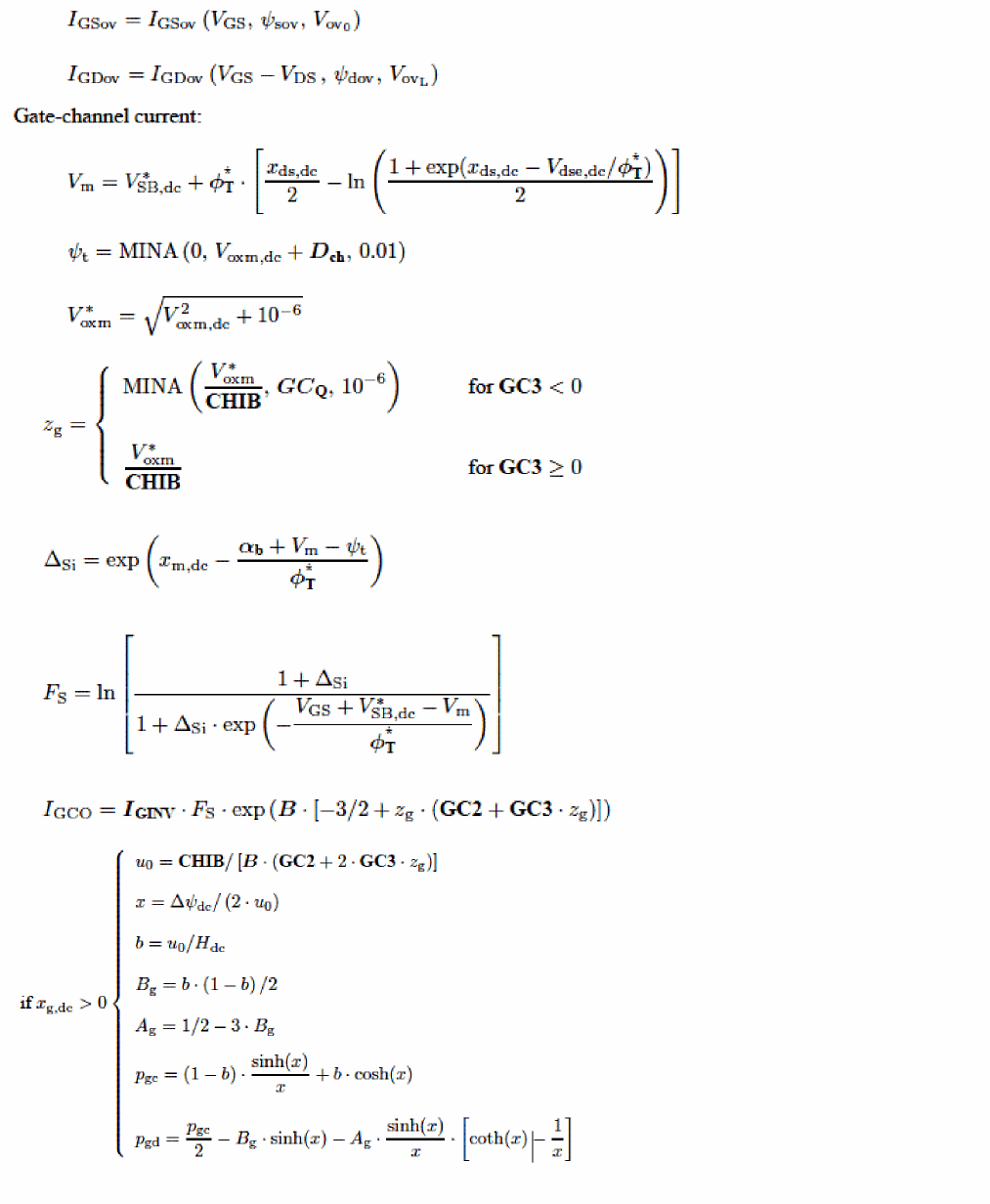
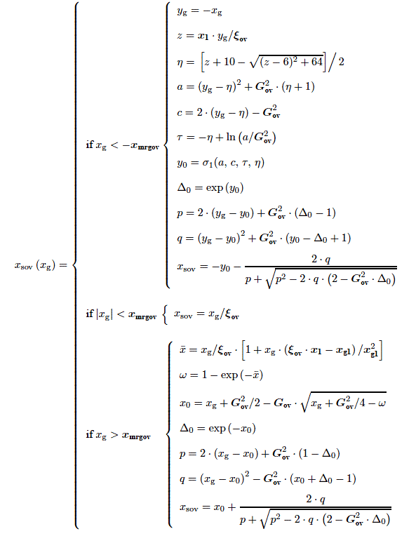
Surface Potential in Gate Overlap Regions

Gate Current

The equations in this Section are only calculated when SWIGATE = 1.

Source/Drain gate overlap current

Gate-Induced Drain/Source Leakage Current

The equations in this section are only calculated when SWGIDL = 1.    

Total Terminal Currents

Charge Model

In this section, the charge model equations of the PSP-model are given. Use is made of the applied terminal bias values VGS, VDS and VSB, the local parameters listed in section “Intrinsic Parameters” and the internal parameters introduced in the Model Equations section. The parameters are denoted by capital characters in bold font, whereas internal (bias-independent) parameters are denoted by symbols in bold font.

Quantum-Mechanical Corrections

Intrinsic Charge Model

Extrinsic Charge Model

The charges of the source and drain overlap regions:

Total Terminal Charges

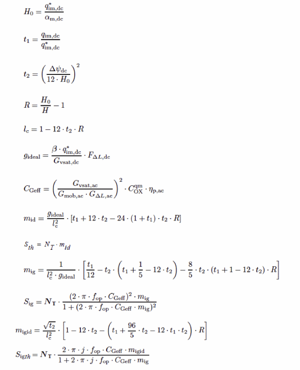
Noise Model

Equations are only calculated for xg > 0. In these equations fop represents the operation frequency of the transistor and

Noise Source

If correlation noise is turned on,

If correlation noise is turned off,

Gate current shot noise

Avalanche current shot noise

Thermal noise for parasitic resistances

Self Heating

The figure below shows the simple thermal network that is implemented in PSP.

The current that reflects the power dissipation is given by:

If Rth<10-3, Pdiss=0. This can be used to switch off self heating.

The built-in thermal network of PSP can be bypassed (for example, replace it with an externally-connected thermal network) by setting CTH=0 and assigning a large value to RTH.

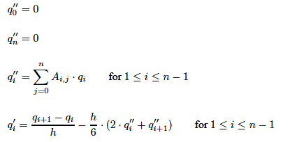
Non-quasi-static RF model

For high-frequency modeling and fast transient simulations, a special version of the PSP model is available, which enables the simulation of non-quasi-static (NQS) effects, and includes several parasitic resistances.

NQS-effects

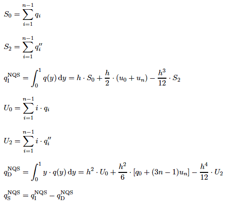
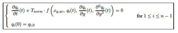
In the PSP-NQS model, NQS-effects are introduced by applying the one-dimensional current continuity equation ( ) to the channel. A full numerical solution of this equation is too inefficient for compact modeling, therefore an approximate technique is used. The channel is partitioned into N + 1 sections of equal length by assigning N equidistant collocation points. The charge density (per unit channel area) along the channel is then approximated by a cubic spline through these collocation points, assuring that both the charge and its first and second spatial derivatives are continuous a long the channel. Within this approximation, the current continuity equation reduces to a system of N coupled first order ordinary differential equations, from which the channel charge at each collocation point can be found:

Here, Qi is the charge density at the i-th collocation point and fi are functions, which contain the complete PSP-charge model. These equations are implemented by the definition of appropriate subcircuits (see left part of figure below) and solved by the circuit simulator. Finally, the four terminal charges are calculated from the channel charges, using the Ward-Dutton partitioning scheme for the source and drain charges.

NQS Model Equations

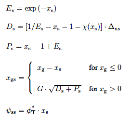
In this section, several symbols and notations are used which were defined in Section 4. Moreover, y denotes the (normalized) position along the channel (y = 0 is source side, y = 1 is drain side), while x denotes the surface potential (normalized to *T) at a certain position.

Figure -6 The subcircuit used to solve one of the differential equations

The current is set to Ii = CNQS · f (V1, . . . , VN ), where the voltage Vi represents the charge density Qi at the i-th collocation point and is solved by the circuit simulator. N of these circuits are defined and they are coupled through the dependence of Ii on the voltages of the other circuits. The resistance RNQS has a large value and is present only for convergence purposes. Right: The full network of parasitic elements in the PSP-NQS model. The large full dots indicate the five additional internal nodes.

Internal constants

Equations in this section are independent of bias conditions and time. Consequently, they have to be computed only once.

In PSP only SWNQS = 0, 1, 2, 3, 5, 9 are allowed.

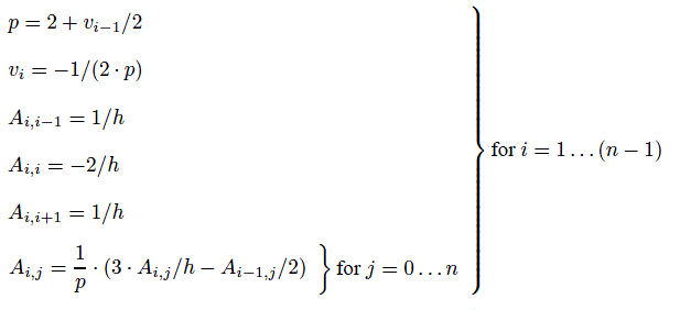
The matrix A is a square (n + 1) × (n + 1)-matrix with elements Ai,j ( , ), which are used in equations. They are computed using the following algorithm:

Initial values

First loop

Second loop (back substitution)

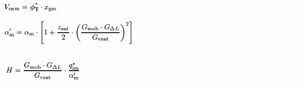
Position independent quantities

The following quantities depend on the bias conditions, but are constant along the channel:

Position dependent surface potential and charge

Interpolated (quasi-static) surface potential along the channel:

Normalized bulk-charge and its first two derivatives as functions of surface potential:

Surface potential as a function of normalized inversion charge

Auxiliary functions

Normalized right-hand side of continuity equation

Cubic spline interpolation

Using cubic spline interpolation, the spatial derivatives and can be expressed as functions of qi(t).

Continuity equation

x0,0 = xs and xn,0 = xd. Moreover, these values coincide with those in the quasi-static part of PSP.

The core of the NQS-model is the solution of q(y, t) from the charge continuity equation along the channel. By approximating the y-dependence by a cubic spline through a number of collocation points, the problem is reduced to solving the qi(t) from the following set of coupled differential equations.

The boundary points q0(t) = q(xs) = qis and qn(t) = q(xd) = qid remain fixed to their quasi-static values; they are not solved from the equation above. The set of differential equations defined above is solved by the circuit simulator via the subcircuits shown in the left part of Figure 25-6.

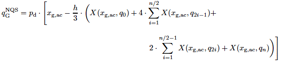
Non-quasi-static terminal charges

Once the qi are known, the NQS terminal charges can be computed:

Currently, only SWNQS = 0, 1, 2, 3, 5, 9 are allowed. For odd values of SWNQS the gate charge is integrated along the channel using Simpson’s Rule. If SWNQS = 2, Simpson’s 3/8-rule is used.

If SWNQS is odd (that is, n is even):

If SWNQS = 2 (that is, n = 3):

Converting back to conventional units:

Instance Definition

Name  d  g  s  b ModelName parameter=value ...

Instance Parameters

1

l=10e-6 m

Design length.

2

w=10e-6 m

Design width.

3

sa=0.0 m

Distance between OD-edge and poly from one side.

4

sb=0.0 m

Distance between OD-edge and poly from other side.

5

sd=0.0 m

Distance between neighboring fingers.

6

sca=0.0

Integral of the first distribution function for scattered well dopants.

7

scb=0.0

Integral of the second distribution function for scattered well dopants.

8

scc=0.0

Integral of the third distribution function for scattered well dopants.

9

sc=0.0 m

Distance between OD-edge and nearest well edge.

10

nf=1

Number of fingers.

11

ngcon=1.0

Number of gate contacts.

12

xgw=1.0E-7 m

Distance from the gate contact to the channel edge.

13

nrs=0.0

Number of squares of source diffusion.

14

nrd=0.0

Number of squares of drain diffusion.

15

region=triode

Estimated operating region. %Z outputs the number (0-4) in a rawfile. Possible values are off, triode, sat, subth, and breakdown.

16

trise=0.0 K

Temperature rise from ambient.

17

jw=1E-6 m

Gate-edge length of source/drain junction.

18

delvto=0.0 V

Threshold voltage shift parameter.

19

factuo=1.0

Zero-field mobility pre-factor.

20

delvtoedge=0.0 V

Threshold voltage shift parameter of edge transistor.

21

factuoedge=1.0

Zero-field mobility pre-factor of edge transistor.

22

absource=1E-12 m2

Bottom area of source junction.

23

lssource=1E-6 m

STI-edge length of source junction.

24

lgsource=1E-6 m

Gate-edge length of source junction.

25

abdrain=1E-12 m2

Bottom area of drain junction.

26

lsdrain=1E-6 m

STI-edge length of drain junction.

27

lgdrain=1E-6 m

Gate-edge length of drain junction.

28

as=1E-12 m2

Bottom area of source junction.

29

ps=1E-6 m

Perimeter of source junction.

30

ad=1E-12 m2

Bottom area of drain junction.

31

pd=1E-6 m

Perimeter of drain junction.

32

mult=1.0

Number of devices in parallel.

33

mulid0=1

Ids multiplier.

34

m=1.0

Multiplicity factor.

35

ifactor=1.0

Multiplier for current.

36

cfactor=1.0

Multiplier for depletion capacitance.

37

isnoisy=yes

Should device generate noise. Possible values are yes and no.

Model Definition

model modelName psp103 parameter=value ...

Model Parameters

1

level=103

Model level.

2

type=n

Channel type parameter, n=NMOS p=PMOS. Possible values are n and p.

3

tr=value of tnom C

Nominal (reference) temperature.

4

tref=value of tnom C

Nominal (reference) temperature.

5

swnqs=0

Flag for NQS. 0 means off. 1, 2, 3, 5, or 9, number of collocation points.

6

swgeo=1

Flag for geometrical model, 0=local, 1=global, 2=binning.

7

swigate=0

Flag for gate current, 0 means turn off gate current.

8

swimpact=0

Flag for impact ionization current. 0 means turn off impact ionization.

9

swgidl=0

Flag for GIDL current. 0 means turn off IGIDL.

10

swjuncap=0

Flag for juncap, 0,turn off juncap.

11

swjunasym=0

Flag for asymmetric junctions; 0 means symmetric, 1 means asymmetric.

12

swnud=0

Flag for NUD-effect. Possible values are:

0: off

1: on

2: on+CV-correction.

13

swedge=0.0

Flag for drain current of edge transistors. Possible values are 0=off and 1=on.

14

swdelvtac=0

Flag for separate capacitance calculation. Possible values are 0: off and 1: on.

15

swign=1.0

Flag for induced gate noise. 0 means off and 1 means on.

16

swfix=0

Flag for fixes introduced in PSP103.8.2.

17

qmc=1.0

Quantum-mechanical correction factor.

18

version=103.0

This parameter accepts only a real number values, for example, use 103.11 for the 103.1.1 version. The available versions are 103.0, 103.1, 103.11 (103.1.1), 103.2, 103.3, 103.4, 103.5, 103.6, and 103.7.

19

minr=0.0

Minimum resistance.

20

mvt=0.0

DCmatch parameter.

21

mvto=0.0

DCmatch parameter.

22

mbe=0.0

DCmatch parameter.

23

mbeo=0.0

DCmatch parameter.

24

vfb=-1.0 V

Flat band voltage at TR.

25

stvfb=5.0e-4 V/K

Temperature dependence of VFB.

26

tox=2.0e-09 m

Gate oxide thickness.

27

epsrox=3.9

Relative permittivity of gate dielectric.

28

neff=5.0e+23 m-3

Effective substrate doping.

29

facneffac=1.0

Pre-factor for effective substrate doping in separate charge calculation.

30

gfacnud=1.0

Bodyfactor change due to NUD-effect.

31

vsbnud=0.0 V

Lower Vsb value for NUD-effect.

32

dvsbnud=1.0 V

Vsb-range for NUD-effect.

33

vnsub=0.0 V

Effective doping bias-dependence parameter.

34

nslp=0.05 V

Effective doping bias-dependence parameter.

35

dnsub=0.0 V^-1

Effective doping bias-dependence parameter.

36

dphib=0.0 V

Offset parameter for PHIB.

37

delvtac=0.0 V

Offset parameter for PHIB in separate charge calculation.

38

np=1.0e+26 m-3

Gate poly-silicon doping.

39

ct=0.0

Interface states factor.

40

toxov=2.0e-09 m

Overlap oxide thickness.

41

toxovd=2.0e-09 m

Overlap oxide thickness for drain side.

42

nov=5.0e+25 m-3

Effective doping of overlap region.

43

novd=5.0e+25 m-3

Effective doping of overlap region for drain side.

44

cf=0.0

DIBL parameter.

45

cfb=0.0 V^-1

Back bias dependence of CF.

46

betn=7e-2 m2/V/s

Channel aspect ratio times zero-field mobility.

47

stbet=1.0

Temperature dependence of BETN.

48

mue=0.5 m/V

Mobility reduction coefficient at TR.

49

stmue=0.0

Temperature dependence of MUE.

50

themu=1.5

Mobility reduction exponent at TR.

51

stthemu=1.5

Temperature dependence of THEMU.

52

cs=0.0

Coulomb scattering parameter at TR.

53

stcs=0.0

Temperature dependence of CS.

54

xcor=0.0 V^-1

Non-universality factor.

55

stxcor=0.0

Temperature dependence of XCOR.

56

feta=1.0

Effective field parameter.

57

rs=30

Series resistance at TR.

58

strs=1.0

Temperature dependence of RS.

59

rsb=0.0 V^-1

Back-bias dependence of series resistance.

60

rsg=0.0 V^-1

Gate-bias dependence of series resistance.

61

thesat=1.0 V^-1

Velocity saturation parameter at TR.

62

stthesat=1.0

Temperature dependence of THESAT.

63

thesatb=0.0 V^-1

Back-bias dependence of velocity saturation.

64

thesatg=0.0 V^-1

Gate-bias dependence of velocity saturation.

65

ax=3.0

Linear/saturation transition factor.

66

alp=0.01

CLM pre-factor.

67

alp1=0.00 V

CLM enhancement factor above threshold.

68

alp2=0.00 V^-1

CLM enhancement factor below threshold.

69

vp=0.05 V

CLM logarithm dependence factor.

70

a1=1.0

Impact-ionization pre-factor.

71

a2=10.0 V

Impact-ionization exponent at TR.

72

sta2=0.0 V

Temperature dependence of A2.

73

a3=1.0

Saturation-voltage dependence of impact-ionization.

74

a4=0.0 V^-0.5

Back-bias dependence of impact-ionization.

75

gco=0.0

Gate tunneling energy adjustment.

76

iginv=0.0 A

Gate channel current pre-factor.

77

igov=0.0 A

Gate overlap current pre-factor.

78

igovd=0.0 A

Gate overlap current pre-factor for drain side.

79

stig=2.0

Temperature dependence of IGINV and IGOV.

80

gc2=0.375

Gate current slope factor.

81

gc3=0.063

Gate current curvature factor.

82

chib=3.1 V

Tunneling barrier height.

83

agidl=0.0 A/V3

GIDL pre-factor.

84

agidld=0.0 A/V3

GIDL pre-factor for drain side.

85

bgidl=41.0 V

GIDL probability factor at TR.

86

bgidld=41.0 V

GIDL probability factor at TR for drain side.

87

stbgidl=0.0 V/K

Temperature dependence of BGIDL.

88

stbgidld=0.0 V/K

Temperature dependence of BGIDL for drain side.

89

cgidl=0.0

Back-bias dependence of GIDL.

90

cgidld=0.0

Back-bias dependence of GIDL for drain side.

91

cox=1.0e-14 F

Oxide capacitance for intrinsic channel.

92

cgov=1.0e-15 F

Oxide capacitance for gate-drain/source overlap.

93

cgovd=1.0e-15 F

Oxide capacitance for gate-drain overlap.

94

cgbov=0.0 F

Oxide capacitance for gate-bulk overlap.

95

cfr=0.0 F

Outer fringe capacitance.

96

cfrd=0.0 F

Outer fringe capacitance for drain side.

97

fcgovacc=0.0

Factor for overlap capacitances in accumulation regime.

98

fcgovaccd=0.0

Factor for overlap capacitances in accumulation regime for drain side.

99

cgovaccg=1.0

Gate voltage dependence parameter of overlap capacitances in accumulation regime.

100

cinr=0.0 F

Inner fringe capacitance.

101

cinrd=0.0 F

Inner fringe capacitance for drain side.

102

dvfbinr=0.0 V

Flat-band voltage offset of inner fringe capacitances.

103

fcinrdep=0.3

Bias dependence parameter of inner fringe capacitances in depletion regime.

104

fcinracc=0.5

Bias dependence parameter of inner fringe capacitances in accumulation regime.

105

axinr=0.5

Accumulation/depletion transition factor of inner fringe capacitances.

106

fnt=1.0

Thermal noise coefficient.

107

FNTEXC=0.0

Excess noise coefficient.

108

nfa=8.0e+22 V^-1/m4

First coefficient of flicker noise.

109

nfb=3.0e+07 V^-1/m2

Second coefficient of flicker noise.

110

nfc=0.0 V^-1

Third coefficient of flicker noise.

111

ef=1.0

Flicker noise frequency exponent.

112

munqs=1.0

Relative mobility for NQS modelling.

113

rg=0.0

Gate resistance.

114

rse=0.0

External source resistance.

115

rde=0.0

External drain resistance.

116

rbulk=0.0

Bulk resistance between node BP and BI.

117

rwell=0.0

Well resistance between node BI and B.

118

rjuns=0.0

Source-side bulk resistance between node BI and BS.

119

rjund=0.0

Drain-side bulk resistance between node BI and BD.

120

rth=0.0 K/W

Thermal resistance.

121

cth=0.0 J/K

Thermal capacitance.

122

strth=0.0

Temperature sensitivity of RTH.

123

povfb=-1 V

Coefficient for the geometry-independent part of VFB.

124

plvfb=0.0 V

Coefficient for the length dependence of VFB.

125

pwvfb=0.0 V

Coefficient for the width dependence of VFB.

126

plwvfb=0.0 V

Coefficient for the length times width dependence of VFB.

127

postvfb=0.0005 V/K

Coefficient for the geometry-independent part of STVFB.

128

plstvfb=0.0 V/K

Coefficient for the length dependence of STVFB.

129

pwstvfb=0.0 V/K

Coefficient for the width dependence of STVFB.

130

plwstvfb=0.0 V/K

Coefficient for the length times width dependence of STVFB.

131

potox=2E-09 m

Coefficient for the geometry-independent part of TOX.

132

poepsrox=3.9

Coefficient for the geometry-independent part of EPSOX.

133

poneff=5E+23 m-3

Coefficient for the geometry-independent part of NEFF.

134

plneff=0.0 m-3

Coefficient for the length dependence of NEFF.

135

pwneff=0.0 m-3

Coefficient for the width dependence of NEFF.

136

plwneff=0.0 m-3

Coefficient for the length times width dependence of NEFF.

137

pofacneffac=1.0

Coefficient for the geometry-independent part of FACNEFFAC.

138

plfacneffac=0.0

Coefficient for the length dependence of FACNEFFAC.

139

pwfacneffac=0.0

Coefficient for the width dependence of FACNEFFAC.

140

plwfacneffac=0.0

Coefficient for the length times width dependence of FACNEFFAC.

141

pogfacnud=1.0

Coefficient for the geometry-independent part of GFACNUD.

142

plgfacnud=0.0

Coefficient for the length dependence of GFACNUD.

143

pwgfacnud=0.0

Coefficient for the width dependence of GFACNUD.

144

plwgfacnud=0.0

Coefficient for the length times width dependence of GFACNUD.

145

povsbnud=0.0 V

Coefficient for the geometry-independent part of VSBNUD.

146

podvsbnud=1.0 V

Coefficient for the geometry-independent part of DVSBNUD.

147

povnsub=0 V

Coefficient for the geometry-independent part of VNSUB.

148

ponslp=0.05 V

Coefficient for the geometry-independent part of NSLP.

149

podnsub=0 V^-1

Coefficient for the geometry-independent part of DNSUB.

150

podphib=0 V

Coefficient for the geometry-independent part of DPHIB.

151

pldphib=0.0 V

Coefficient for the length dependence of DPHIB.

152

pwdphib=0.0 V

Coefficient for the width dependence of DPHIB.

153

plwdphib=0.0 V

Coefficient for the length times width dependence of DPHIB.

154

podelvtac=0 V

Coefficient for the geometry-independent part of DELVTAC.

155

pldelvtac=0.0 V

Coefficient for the length dependence of DELVTAC.

156

pwdelvtac=0.0 V

Coefficient for the width dependence of DELVTAC.

157

plwdelvtac=0.0 V

Coefficient for the length times width dependence of DELVTAC.

158

ponp=1E+26 m-3

Coefficient for the geometry-independent part of NP.

159

plnp=0.0 m-3

Coefficient for the length dependence of NP.

160

pwnp=0.0 m-3

Coefficient for the width dependence of NP.

161

plwnp=0.0 m-3

Coefficient for the length times width dependence of NP.

162

poct=0

Coefficient for the geometry-independent part of CT.

163

plct=0.0

Coefficient for the length dependence of CT.

164

pwct=0.0

Coefficient for the width dependence of CT.

165

plwct=0.0

Coefficient for the length times width dependence of CT.

166

potoxov=2E-09 m

Coefficient for the geometry-independent part of TOXOV.

167

potoxovd=2E-09 m

Coefficient for the geometry-independent part of TOXOV for drain side.

168

ponov=5E+25 m-3

Coefficient for the geometry-independent part of NOV.

169

plnov=0.0 m-3

Coefficient for the length dependence of NOV.

170

pwnov=0.0 m-3

Coefficient for the width dependence of NOV.

171

plwnov=0.0 m-3

Coefficient for the length times width dependence of NOV.

172

ponovd=5E+25 m-3

Coefficient for the geometry-independent part of NOV for drain side.

173

plnovd=0.0 m-3

Coefficient for the length dependence of NOV for drain side.

174

pwnovd=0.0 m-3

Coefficient for the width dependence of NOV for drain side.

175

plwnovd=0.0 m-3

Coefficient for the length times width dependence of NOV for drain side.

176

pocf=0

Coefficient for the geometry-independent part of CF.

177

plcf=0.0

Coefficient for the length dependence of CF.

178

pwcf=0.0

Coefficient for the width dependence of CF.

179

plwcf=0.0

Coefficient for the length times width dependence of CF.

180

plcfd=0.0 V^-1

Coefficient for the geometry-independent part of CFD.

181

pocfd=0 V^-1

Coefficient for the geometry-independent part of CFD.

182

pocfb=0 V^-1

Coefficient for the geometry-independent part of CFB.

183

pobetn=0.07 m2/V/s

Coefficient for the geometry-independent part of BETN.

184

plbetn=0.0 m2/V/s

Coefficient for the length dependence of BETN.

185

pwbetn=0.0 m2/V/s

Coefficient for the width dependence of BETN.

186

plwbetn=0.0 m2/V/s

Coefficient for the length times width dependence of BETN.

187

postbet=1

Coefficient for the geometry-independent part of STBET.

188

plstbet=0.0

Coefficient for the length dependence of STBET.

189

pwstbet=0.0

Coefficient for the width dependence of STBET.

190

plwstbet=0.0

Coefficient for the length times width dependence of STBET.

191

pomue=0.5 m/V

Coefficient for the geometry-independent part of MUE.

192

plmue=0.0 m/V

Coefficient for the length dependence of MUE.

193

pwmue=0.0 m/V

Coefficient for the width dependence of MUE.

194

plwmue=0.0 m/V

Coefficient for the length times width dependence of MUE.

195

postmue=0

Coefficient for the geometry-independent part of STMUE.

196

pothemu=1.5

Coefficient for the geometry-independent part of THEMU.

197

postthemu=1.5

Coefficient for the geometry-independent part of STTHEMU.

198

pocs=0

Coefficient for the geometry-independent part of CS.

199

plcs=0.0

Coefficient for the length dependence of CS.

200

pwcs=0.0

Coefficient for the width dependence of CS.

201

plwcs=0.0

Coefficient for the length times width dependence of CS.

202

postcs=0

Coefficient for the geometry-independent part of STCS.

203

poxcor=0 V^-1

Coefficient for the geometry-independent part of XCOR.

204

plxcor=0.0 V^-1

Coefficient for the length dependence of XCOR.

205

pwxcor=0.0 V^-1

Coefficient for the width dependence of XCOR.

206

plwxcor=0.0 V^-1

Coefficient for the length times width dependence of XCOR.

207

postxcor=0

Coefficient for the geometry-independent part of STXCOR.

208

pofeta=1

Coefficient for the geometry-independent part of FETA.

209

pors=30

Coefficient for the geometry-independent part of RS.

210

plrs=0.0

Coefficient for the length dependence of RS.

211

pwrs=0.0

Coefficient for the width dependence of RS.

212

plwrs=0.0

Coefficient for the length times width dependence of RS.

213

postrs=1

Coefficient for the geometry-independent part of STRS.

214

porsb=0 V^-1

Coefficient for the geometry-independent part of RSB.

215

porsg=0 V^-1

Coefficient for the geometry-independent part of RSG.

216

pothesat=1 V^-1

Coefficient for the geometry-independent part of THESAT.

217

plthesat=0.0 V^-1

Coefficient for the length dependence of THESAT.

218

pwthesat=0.0 V^-1

Coefficient for the width dependence of THESAT.

219

plwthesat=0.0 V^-1

Coefficient for the length times width dependence of THESAT.

220

postthesat=1

Coefficient for the geometry-independent part of STTHESAT.

221

plstthesat=0.0

Coefficient for the length dependence of STTHESAT.

222

pwstthesat=0.0

Coefficient for the width dependence of STTHESAT.

223

plwstthesat=0.0

Coefficient for the length times width dependence of STTHESAT.

224

pothesatb=0 V^-1

Coefficient for the geometry-independent part of THESATB.

225

plthesatb=0.0 V^-1

Coefficient for the length dependence of THESATB.

226

pwthesatb=0.0 V^-1

Coefficient for the width dependence of THESATB.

227

plwthesatb=0.0 V^-1

Coefficient for the length times width dependence of THESATB.

228

pothesatg=0 V^-1

Coefficient for the geometry-independent part of THESATG.

229

plthesatg=0.0 V^-1

Coefficient for the length dependence of THESATG.

230

pwthesatg=0.0 V^-1

Coefficient for the width dependence of THESATG.

231

plwthesatg=0.0 V^-1

Coefficient for the length times width dependence of THESATG.

232

poax=3

Coefficient for the geometry-independent part of AX.

233

plax=0.0

Coefficient for the length dependence of AX.

234

pwax=0.0

Coefficient for the width dependence of AX.

235

plwax=0.0

Coefficient for the length times width dependence of AX.

236

poalp=0.01

Coefficient for the geometry-independent part of ALP.

237

plalp=0.0

Coefficient for the length dependence of ALP.

238

pwalp=0.0

Coefficient for the width dependence of ALP.

239

plwalp=0.0

Coefficient for the length times width dependence of ALP.

240

poalp1=0 V

Coefficient for the geometry-independent part of ALP1.

241

plalp1=0.0 V

Coefficient for the length dependence of ALP1.

242

pwalp1=0.0 V

Coefficient for the width dependence of ALP1.

243

plwalp1=0.0 V

Coefficient for the length times width dependence of ALP1.

244

poalp2=0 V^-1

Coefficient for the geometry-independent part of ALP2.

245

plalp2=0.0 V^-1

Coefficient for the length dependence of ALP2.

246

pwalp2=0.0 V^-1

Coefficient for the width dependence of ALP2.

247

plwalp2=0.0 V^-1

Coefficient for the length times width dependence of ALP2.

248

povp=0.05 V

Coefficient for the geometry-independent part of VP.

249

poa1=1

Coefficient for the geometry-independent part of A1.

250

pla1=0.0

Coefficient for the length dependence of A1.

251

pwa1=0.0

Coefficient for the width dependence of A1.

252

plwa1=0.0

Coefficient for the length times width dependence of A1.

253

poa2=10 V

Coefficient for the geometry-independent part of A2.

254

posta2=0 V

Coefficient for the geometry-independent part of STA2.

255

poa3=1

Coefficient for the geometry-independent part of A3.

256

pla3=0.0

Coefficient for the length dependence of A3.

257

pwa3=0.0

Coefficient for the width dependence of A3.

258

plwa3=0.0

Coefficient for the length times width dependence of A3.

259

poa4=0 V^-0.5

Coefficient for the geometry-independent part of A4.

260

pla4=0.0 V^-0.5

Coefficient for the length dependence of A4.

261

pwa4=0.0 V^-0.5

Coefficient for the width dependence of A4.

262

plwa4=0.0 V^-0.5

Coefficient for the length times width dependence of A4.

263

pogco=0

Coefficient for the geometry-independent part of GCO.

264

poiginv=0 A

Coefficient for the geometry-independent part of IGINV.

265

pliginv=0.0 A

Coefficient for the length dependence of IGINV.

266

pwiginv=0.0 A

Coefficient for the width dependence of IGINV.

267

plwiginv=0.0 A

Coefficient for the length times width dependence of IGINV.

268

poigov=0 A

Coefficient for the geometry-independent part of IGOV.

269

pligov=0.0 A

Coefficient for the length dependence of IGOV.

270

pwigov=0.0 A

Coefficient for the width dependence of IGOV.

271

plwigov=0.0 A

Coefficient for the length times width dependence of IGOV.

272

poigovd=0 A

Coefficient for the geometry-independent part of IGOV for drain side.

273

pligovd=0.0 A

Coefficient for the length dependence of IGOV for drain side.

274

pwigovd=0.0 A

Coefficient for the width dependence of IGOV for drain side.

275

plwigovd=0.0 A

Coefficient for the length times width dependence of IGOV for drain side.

276

postig=2

Coefficient for the geometry-independent part of STIG.

277

pogc2=0.375

Coefficient for the geometry-independent part of GC2.

278

pogc3=0.063

Coefficient for the geometry-independent part of GC3.

279

pochib=3.1 V

Coefficient for the geometry-independent part of CHIB.

280

poagidl=0 A/V3

Coefficient for the geometry-independent part of AGIDL.

281

plagidl=0.0 A/V3

Coefficient for the length dependence of AGIDL.

282

pwagidl=0.0 A/V3

Coefficient for the width dependence of AGIDL.

283

plwagidl=0.0 A/V3

Coefficient for the length times width dependence of AGIDL.

284

poagidld=0 A/V3

Coefficient for the geometry-independent part of AGIDL for drain side.

285

plagidld=0.0 A/V3

Coefficient for the length dependence of AGIDL for drain side.

286

pwagidld=0.0 A/V3

Coefficient for the width dependence of AGIDL for drain side.

287

plwagidld=0.0 A/V3

Coefficient for the length times width dependence of AGIDL for drain side.

288

pobgidl=41 V

Coefficient for the geometry-independent part of BGIDL.

289

pobgidld=41 V

Coefficient for the geometry-independent part of BGIDL for drain side.

290

postbgidl=0 V/K

Coefficient for the geometry-independent part of STBGIDL.

291

postbgidld=0 V/K

Coefficient for the geometry-independent part of STBGIDL for drain side.

292

pocgidl=0

Coefficient for the geometry-independent part of CGIDL.

293

pocgidld=0

Coefficient for the geometry-independent part of CGIDL for drain side.

294

pocox=1E-14 F

Coefficient for the geometry-independent part of COX.

295

plcox=0.0 F

Coefficient for the length dependence of COX.

296

pwcox=0.0 F

Coefficient for the width dependence of COX.

297

plwcox=0.0 F

Coefficient for the length times width dependence of COX.

298

pocgov=1E-15 F

Coefficient for the geometry-independent part of CGOV.

299

plcgov=0.0 F

Coefficient for the length dependence of CGOV.

300

pwcgov=0.0 F

Coefficient for the width dependence of CGOV.

301

plwcgov=0.0 F

Coefficient for the length times width dependence of CGOV.

302

pocgovd=1E-15 F

Coefficient for the geometry-independent part of CGOV for drain side.

303

plcgovd=0.0 F

Coefficient for the length dependence of CGOV for drain side.

304

pwcgovd=0.0 F

Coefficient for the width dependence of CGOV for drain side.

305

plwcgovd=0.0 F

Coefficient for the length times width dependence of CGOV for drain side.

306

pocgbov=0 F

Coefficient for the geometry-independent part of CGBOV.

307

plcgbov=0.0 F

Coefficient for the length dependence of CGBOV.

308

pwcgbov=0.0 F

Coefficient for the width dependence of CGBOV.

309

plwcgbov=0.0 F

Coefficient for the length times width dependence of CGBOV.

310

pocfr=0 F

Coefficient for the geometry-independent part of CFR.

311

plcfr=0.0 F

Coefficient for the length dependence of CFR.

312

pwcfr=0.0 F

Coefficient for the width dependence of CFR.

313

plwcfr=0.0 F

Coefficient for the length times width dependence of CFR.

314

pocfrd=0 F

Coefficient for the geometry-independent part of CFR for drain side.

315

plcfrd=0.0 F

Coefficient for the length dependence of CFR for drain side.

316

pwcfrd=0.0 F

Coefficient for the width dependence of CFR for drain side.

317

plwcfrd=0.0 F

Coefficient for the length times width dependence of CFR for drain side.

318

pofcgovacc=0.0

Coefficient for the geometry-independent part of FCGOVACC.

319

pofcgovaccd=0.0

Coefficient for the geometry-independent part of FCGOVACC for drain side.

320

pocgovaccg=1.0

Coefficient for the geometry-independent part of CGOVACCG.

321

pocinr=0.0 F

Coefficient for the geometry-independent part of CINR.

322

plcinr=0.0 F

Coefficient for the length dependence of CINR.

323

pwcinr=0.0 F

Coefficient for the width dependence of CINR.

324

plwcinr=0.0 F

Coefficient for the length times width dependence of CINR.

325

pocinrd=0.0 F

Coefficient for the geometry-independent part of CINR for drain side.

326

plcinrd=0.0 F

Coefficient for the length dependence of CINR for drain side.

327

pwcinrd=0.0 F

Coefficient for the width dependence of CINR for drain side.

328

plwcinrd=0.0 F

Coefficient for the length times width dependence of CINR for drain side.

329

podvfbinr=0.0 V

Coefficient for the geometry-independent part of DVFBINR.

330

pofcinrdep=0.3

Coefficient for the geometry-independent part of FCINRDEP.

331

pofcinracc=0.5

Coefficient for the geometry-independent part of FCINRACC.

332

poaxinr=0.5

Coefficient for the geometry-independent part of AXINR.

333

pofnt=1

Coefficient for the geometry-independent part of FNT.

334

pofntexc=0.0

Coefficient for the geometry-independent part of FNTEXC.

335

plfntexc=0.0

Coefficient for the length dependence of FNTEXC.

336

pwfntexc=0.0

Coefficient for the width dependence of FNTEXC.

337

plwfntexc=0.0

Coefficient for the length times width dependence of FNTEXC.

338

ponfa=8E+22 V^-1/m4

Coefficient for the geometry-independent part of NFA.

339

plnfa=0.0 V^-1/m4

Coefficient for the length dependence of NFA.

340

pwnfa=0.0 V^-1/m4

Coefficient for the width dependence of NFA.

341

plwnfa=0.0 V^-1/m4

Coefficient for the length times width dependence of NFA.

342

ponfb=3E+07 V^-1/m2

Coefficient for the geometry-independent part of NFB.

343

plnfb=0.0 V^-1/m2

Coefficient for the length dependence of NFB.

344

pwnfb=0.0 V^-1/m2

Coefficient for the width dependence of NFB.

345

plwnfb=0.0 V^-1/m2

Coefficient for the length times width dependence of NFB.

346

ponfc=0 V^-1

Coefficient for the geometry-independent part of NFC.

347

plnfc=0.0 V^-1

Coefficient for the length dependence of NFC.

348

pwnfc=0.0 V^-1

Coefficient for the width dependence of NFC.

349

plwnfc=0.0 V^-1

Coefficient for the length times width dependence of NFC.

350

poef=1.0

Coefficient for the flicker noise frequency exponent.

351

pokvthowe=0

Coefficient for the geometry-independent part of KVTHOWE.

352

plkvthowe=0

Coefficient for the length dependence part of KVTHOWE.

353

pwkvthowe=0

Coefficient for the width dependence part of KVTHOWE.

354

plwkvthowe=0

Coefficient for the length times width dependence part of KVTHOWE.

355

pokuowe=0

Coefficient for the geometry-independent part of KUOWE.

356

plkuowe=0

Coefficient for the length dependence part of KUOWE.

357

pwkuowe=0

Coefficient for the width dependence part of KUOWE.

358

plwkuowe=0

Coefficient for the length times width dependence part of KUOWE.

359

lmin=0 m

Dummy parameter to label binning set.

360

lmax=1.0 m

Dummy parameter to label binning set.

361

wmin=0 m

Dummy parameter to label binning set.

362

wmax=1.0 m

Dummy parameter to label binning set.

363

popsce=0.0

Coefficient for the geometry-independent part of PSCE.

364

plpsce=0.0

Coefficient for the length dependence of PSCE.

365

pwpsce=0.0

Coefficient for the width dependence of PSCE.

366

plwpsce=0.0

Coefficient for the length times width dependence of PSCE.

367

popsceb=0.0 V^-1

Coefficient for the geometry-independent part of PSCEB.

368

popsced=0.0 V^-1

Coefficient for the geometry-independent part of PSCED.

369

povfbedge=(-1.0) V

Coefficient for the geometry-independent part of VFBEDGE.

370

postvfbedge=0.0 V/K

Coefficient for the geometry-independent part of STVFBEDGE.

371

plstvfbedge=0.0 V/K

Coefficient for the length dependence of STVFBEDGE

372

pwstvfbedge=0.0 V/K

Coefficient for the width dependence of STVFBEDGE.

373

plwstvfbedge=0.0 V/K

Coefficient for the length times width dependence of STVFBEDGE.

374

podphibedge=0.0 V

Coefficient for the geometry-independent part of DPHIBEDGE.

375

pldphibedge=0.0 V

Coefficient for the length dependence of DPHIBEDGE.

376

pwdphibedge=0.0 V

Coefficient for the width dependence of DPHIBEDGE.

377

plwdphibedge=0.0 V

Coefficient for the length times width dependence of DPHIBEDGE.

378

poneffedge=5.0e23 m-3

Coefficient for the geometry-independent part of NEFFEDGE.

379

plneffedge=0.0 m-3

Coefficient for the length dependence of NEFFEDGE.

380

pwneffedge=0.0 m-3

Coefficient for the width dependence of NEFFEDGE.

381

plwneffedge=0.0 m-3

Coefficient for the length times width dependence of NEFFEDGE.

382

poctedge=0.0

Coefficient for the geometry-independent part of CTEDGE.

383

plctedge=0.0

Coefficient for the length dependence of CTEDGE.

384

pwctedge=0.0

Coefficient for the width dependence of CTEDGE.

385

plwctedge=0.0

Coefficient for the length times width dependence of CTEDGE.

386

pobetnedge=5.0e-4 m2/V/s

Coefficient for the geometry-independent part of BETNEDGE.

387

plbetnedge=0.0 m2/V/s

Coefficient for the length dependence of BETNEDGE.

388

pwbetnedge=0.0 m2/V/s

Coefficient for the width dependence of BETNEDGE.

389

plwbetnedge=0.0 m2/V/s

Coefficient for the length times width dependence of BETNEDGE.

390

postbetedge=1.0

Coefficient for the geometry-independent part of STBETEDGE.

391

plstbetedge=0.0

Coefficient for the length dependence of STBETEDGE.

392

pwstbetedge=0.0

Coefficient for the width dependence of STBETEDGE.

393

plwstbetedge=0.0

Coefficient for the length times width dependence of STBETEDGE.

394

popsceedge=0.0

Coefficient for the geometry-independent part of PSCEEDGE.

395

plpsceedge=0.0

Coefficient for the length dependence of PSCEEDGE.

396

pwpsceedge=0.0

Coefficient for the width dependence of PSCEEDGE.

397

plwpsceedge=0.0

Coefficient for the length times width dependence of PSCEEDGE.

398

popscebedge=0.0 V^-1

Coefficient for the geometry-independent part of PSCEBEDGE.

399

popscededge=0.0 V^-1

Coefficient for the geometry-independent part of PSCEDEDGE.

400

pocfedge=0.0

Coefficient for the geometry-independent part of CFEDGE.

401

plcfedge=0.0

Coefficient for the length dependence of CFEDGE.

402

pwcfedge=0.0

Coefficient for the width dependence of CFEDGE.

403

plwcfedge=0.0

Coefficient for the length times width dependence of CFEDGE.

404

pocfdedge=0.0 V^-1

Coefficient for the geometry-independent part of CFDEDGE.

405

pocfbedge=0.0 V^-1

Coefficient for the geometry-independent part of CFBEDGE.

406

pofntedge=1.0

Coefficient for the geometry-independent part of FNTEDGE.

407

ponfaedge=8.0e22 V^-1/m4

Coefficient for the geometry-independent part of NFAEDGE.

408

plnfaedge=0.0 V^-1/m4

Coefficient for the length dependence of NFAEDGE.

409

pwnfaedge=0.0 V^-1/m4

Coefficient for the width dependence of NFAEDGE.

410

plwnfaedge=0.0 V^-1/m4

Coefficient for the length times width dependence of NFAEDGE.

411

ponfbedge=3.0e7 V^-1/m2

Coefficient for the geometry-independent part of NFBEDGE.

412

plnfbedge=0.0 V^-1/m2

Coefficient for the length dependence of NFBEDGE.

413

pwnfbedge=0.0 V^-1/m2

Coefficient for the width dependence of NFBEDGE.

414

plwnfbedge=0.0 V^-1/m2

Coefficient for the length times width dependence of NFBEDGE.

415

ponfcedge=0.0 V^-1

Coefficient for the geometry-independent part of NFCEDGE.

416

plnfcedge=0.0 V^-1

Coefficient for the length dependence of NFCEDGE.

417

pwnfcedge=0.0 V^-1

Coefficient for the width dependence of NFCEDGE.

418

plwnfcedge=0.0 V^-1

Coefficient for the length times width dependence of NFCEDGE.

419

poefedge=1.0

Coefficient for the geometry-independent part of EFEDGE.

420

lvaro=0.0 m

Geometry-independent difference between actual and programmed gate length.

421

lvarl=0.0

Length dependence of LVAR.

422

lvarw=0.0

Width dependence of LVAR.

423

lap=0.0 m

Effective channel length reduction per side.

424

wvaro=0.0 m

Geometry-independent difference between actual and programmed field-oxide opening.

425

wvarl=0.0

Length dependence of WVAR.

426

wvarw=0.0

Width dependence of WVAR.

427

wot=0.0 m

Effective channel width reduction per side.

428

dlq=0.0 m

Effective channel length reduction for CV.

429

dwq=0.0 m

Effective channel width reduction for CV.

430

vfbo=-1.0 V

Geometry-independent flat-band voltage at TR.

431

vfbl=0.0 V

Length dependence of flat-band voltage.

432

vfbw=0.0 V

Width dependence of flat-band voltage.

433

vfblw=0.0 V

Area dependence of flat-band voltage.

434

stvfbo=5e-4 V/K

Geometry-independent temperature dependence of VFB.

435

stvfbl=0.0 V/K

Length dependence of temperature dependence of VFB.

436

stvfbw=0.0 V/K

Width dependence of temperature dependence of VFB.

437

stvfblw=0.0 V/K

Area dependence of temperature dependence of VFB.

438

toxo=2e-9 m

Gate oxide thickness.

439

epsroxo=3.9

Relative permittivity of gate dielectric.

440

nsubo=3e23 m-3

Geometry-independent substrate doping.

441

nsubw=0.0

Width dependence of background doping NSUBO due to segregation.

442

wseg=1e-8 m

Character length of segregation of background doping NSUBO.

443

npck=1e24 m-3

Pocket doping level.

444

npckw=0.0

Width dependence of pocket doping NPCK due to segregation.

445

wsegp=1e-8 m

Character length of segregation of pocket doping NPCK.

446

lpck=1e-8 m

Character length of lateral doping profile.

447

lpckw=0.0

Width dependence of character length of lateral doping profile.

448

fol1=0.0

First length dependence coefficient for short channel body effect.

449

fol2=0.0

Second length dependence coefficient for short channel body effect.

450

facneffaco=1.0

Geometry-independent pre-factor for effective substrate doping in separate charge calculation.

451

facneffacl=0.0

Length dependence of FACNEFFAC.

452

facneffacw=0.0

Width dependence of FACNEFFAC.

453

facneffaclw=0.0

Area dependence of FACNEFFAC.

454

gfacnudo=1.0

Geometry-independent bodyfactor change due to NUD-effect.

455

gfacnudl=0.0

Length dependence of GFACNUD.

456

gfacnudlexp=1.0

Exponent for length dependence of GFACNUD.

457

gfacnudw=0.0

Width dependence of GFACNUD.

458

gfacnudlw=0.0

Area dependence of GFACNUD.

459

vsbnudo=0.0 V

Lower Vsb value for NUD-effect.

460

dvsbnudo=1.0 V

Vsb range for NUD-effect.

461

vnsubo=0.0 V

Effective doping bias-dependence parameter.

462

nslpo=0.05 V

Effective doping bias-dependence parameter.

463

dnsubo=0.0 V^-1

Effective doping bias-dependence parameter.

464

dphibo=0.0 V

Geometry-independent offset of PHIB.

465

dphibl=0.0 V

Length dependence offset of PHIB.

466

dphiblexp=1.0

Exponent for length dependence of offset of PHIB.

467

dphibw=0.0 V

Width dependence of offset of PHIB.

468

dphiblw=0.0 V

Area dependence of offset of PHIB.

469

delvtaco=0.0 V

Geometry-independent offset parameter for PHIB in separate charge calculation.

470

delvtacl=0.0 V

Length dependence of DELVTAC.

471

delvtaclexp=1.0

Exponent for length dependence of offset of DELVTAC.

472

delvtacw=0.0 V

Width dependence of DELVTAC.

473

delvtaclw=0.0 V

Area dependence of DELVTAC.

474

npo=1e26 m-3

Geometry-independent gate poly-silicon doping.

475

npl=0.0

Length dependence of gate poly-silicon doping.

476

cto=0.0

Geometry-independent interface states factor.

477

ctl=0.0

Length dependence of interface states factor.

478

ctlexp=1.0

Exponent for length dependence of interface states factor.

479

ctw=0.0

Width dependence of interface states factor.

480

ctlw=0.0

Area dependence of interface states factor.

481

toxovo=2e-9 m

Overlap oxide thickness.

482

toxovdo=2e-9 m

Overlap oxide thickness for drain side.

483

lov=0 m

Overlap length for gate/drain and gate/source overlap capacitance.

484

lovd=0 m

Overlap length for gate/drain overlap capacitance.

485

novo=5.0e25 m-3

Effective doping of overlap region.

486

novdo=5.0e25 m-3

Effective doping of overlap region for drain side.

487

cfl=0.0

Length dependence of DIBL-parameter.

488

cflexp=2.0

Exponent for length dependence of CF.

489

cfw=0.0

Width dependence of CF.

490

cfbo=0.0 V^-1

Back-bias dependence of CF.

491

uo=5e-2 m2/V/s

Zero-field mobility at TR.

492

fbet1=0.0

Relative mobility decrease due to first lateral profile.

493

fbet1w=0.0

Width dependence of relative mobility decrease due to first lateral profile.

494

lp1=1e-8 m

Mobility-related characteristic length of first lateral profile.

495

lp1w=0.0

Width dependence of mobility-related characteristic length of first lateral profile.

496

fbet2=0.0

Relative mobility decrease due to second lateral profile.

497

lp2=1e-8 m

Mobility-related characteristic length of second lateral profile.

498

betw1=0.0

First higher-order width scaling coefficient of BETN.

499

betw2=0.0

Second higher-order width scaling coefficient of BETN.

500

wbet=1e-9 m

Characteristic width for width scaling of BETN.

501

stbeto=1.0

Geometry-independent temperature dependence of BETN.

502

stbetl=0.0

Length dependence of temperature dependence of BETN.

503

stbetw=0.0

Width dependence of temperature dependence of BETN.

504

stbetlw=0.0

Area dependence of temperature dependence of BETN.

505

mueo=0.5 m/V

Geometry-independent mobility reduction coefficient at TR.

506

muew=0.0

Width dependence of mobility reduction coefficient at TR.

507

stmueo=0.0

Temperature dependence of MUE.

508

themuo=1.5

Mobility reduction exponent at TR.

509

stthemuo=1.5

Temperature dependence of THEMU.

510

cso=0.0

Geometry-independent coulomb scattering parameter at TR.

511

csl=0.0

Length dependence of CS.

512

cslexp=1.0

Exponent for length dependence of CS.

513

csw=0.0

Width dependence of CS.

514

cslw=0.0

Area dependence of CS.

515

stcso=0.0

Temperature dependence of CS.

516

xcoro=0.0 V^-1

Geometry-independent non-universality parameter.

517

xcorl=0.0

Length dependence of non-universality parameter.

518

xcorw=0.0

Width dependence of non-universality parameter.

519

xcorlw=0.0

Area dependence of non-universality parameter.

520

stxcoro=0.0

Temperature dependence of XCOR.

521

fetao=1.0

Effective field parameter.

522

rsw1=50.0

Source/drain series resistance for 1 um wide channel at TR.

523

rsw2=0.0

Higher-order width scaling of RS.

524

strso=1.0

Temperature dependence of RS.

525

rsbo=0.0 V^-1

Back-bias dependence of series resistance.

526

rsgo=0.0 V^-1

Gate-bias dependence of series resistance.

527

thesato=0.0 V^-1

Geometry-independent velocity saturation parameter at TR.

528

thesatl=0.05 V^-1

Length dependence of THESAT.

529

thesatlexp=1.0

Exponent for length dependence of THESAT.

530

thesatw=0.0

Width dependence of velocity saturation parameter.

531

thesatlw=0.0

Area dependence of velocity saturation parameter.

532

stthesato=1.0

Geometry-independent temperature dependence of THESAT.

533

stthesatl=0.0

Length dependence of temperature dependence of THESAT.

534

stthesatw=0.0

Width dependence of temperature dependence of THESAT.

535

stthesatlw=0.0

Area dependence of temperature dependence of THESAT.

536

thesatbo=0.0 V^-1

Back-bias dependence of velocity saturation.

537

thesatgo=0.0 V^-1

Gate-bias dependence of velocity saturation.

538

axo=18

Geometry-independent linear/saturation transition factor.

539

axl=0.4

Length dependence of AX.

540

alpl=5e-4

Length dependence of ALP.

541

alplexp=1.0

Exponent for length dependence of ALP.

542

alpw=0.0

Width dependence of ALP.

543

alp1l1=0.0 V

Length dependence of CLM enhancement factor above threshold.

544

alp1lexp=0.5

Exponent for length dependence of ALP1.

545

alp1l2=0.0

Second_order length dependence of ALP1.

546

alp1w=0.0

Width dependence of ALP1.

547

alp2l1=0.0 V^-1

Length dependence of CLM enhancement factor below threshold.

548

alp2lexp=0.5

Exponent for length dependence of ALP2.

549

alp2l2=0.0

Second_order length dependence of ALP2.

550

alp2w=0.0

Width dependence of ALP2.

551

vpo=0.05 V

CLM logarithmic dependence parameter.

552

a1o=1.0

Geometry-independent impact-ionization pre-factor.

553

a1l=0.0

Length dependence of A1.

554

a1w=0.0

Width dependence of A1.

555

a2o=10 V

Impact-ionization exponent at TR.

556

sta2o=0.0 V

Temperature dependence of A2.

557

a3o=1.0

Geometry-independent saturation-voltage dependence of II.

558

a3l=0.0

Length dependence of A3.

559

a3w=0.0

Width dependence of A3.

560

a4o=0.0 V^-0.5

Geometry-independent back-bias dependence of II.

561

a4l=0.0

Length dependence of A4.

562

a4w=0.0

Width dependence of A4.

563

gcoo=0.0

Gate tunneling energy adjustment.

564

iginvlw=0.0 A

Gate channel current pre-factor for 1 um^2 channel area.

565

igovw=0.0 A

Gate overlap current pre-factor for 1 um wide channel.

566

igovdw=0.0 A

Gate overlap current pre-factor for 1 um wide channel for drain side.

567

stigo=2.0

Temperature dependence of IGINV and IGOV.

568

gc2o=0.375

Gate current slope factor.

569

gc3o=0.063

Gate current curvature factor.

570

chibo=3.1 V

Tunneling barrier height.

571

agidlw=0.0 A/V3

Width dependence of GIDL pre-factor.

572

agidldw=0.0 A/V3

Width dependence of GIDL pre-factor for drain side.

573

bgidlo=41 V

GIDL probability factor at TR.

574

bgidldo=41 V

GIDL probability factor at TR for drain side.

575

stbgidlo=0.0 V/K

Temperature dependence of BGIDL.

576

stbgidldo=0.0 V/K

Temperature dependence of BGIDL for drain side.

577

cgidlo=0.0

Back-bias dependence of GIDL.

578

cgidldo=0.0

Back-bias dependence of GIDL for drain side.

579

cgbovl=0.0 F

Oxide capacitance for gate-bulk overlap for 1 um long channel.

580

cfrw=0.0 F

Outer fringe capacitance for 1 um wide channel.

581

cfrdw=0.0 F

Outer fringe capacitance for 1 um wide channel for drain side.

582

fcgovacco=0.0

Factor for overlap capacitances in accumulation regime.

583

fcgovaccdo=0.0

Factor for overlap capacitances in accumulation regime for drain side.

584

cgovaccgo=1.0

Gate voltage dependence parameter of overlap capacitances in accumulation regime.

585

cinrw=0.0 F

Inner fringe capacitance for 1 um wide channel.

586

cinrdw=0.0 F

Inner fringe capacitance for 1 um wide channel for drain side.

587

dvfbinro=0.0 V

Flat-band voltage offset of inner fringe capacitances.

588

fcinrdepo=0.3

Bias dependence parameter of inner fringe capacitances in depletion regime.

589

fcinracco=0.5

Bias dependence parameter of inner fringe capacitances in accumulation regime.

590

axinro=0.5

Accumulation/depletion transition factor of inner fringe capacitances.

591

fnto=1.0

Thermal noise coefficient.

592

fntexcl=0.0

Length dependence coefficient of excess noise.

593

nfalw=8e22 V^-1/m4

First coefficient of flicker noise for 1 um^2 channel area.

594

nfblw=3e7 V^-1/m2

Second coefficient of flicker noise for 1 um^2 channel area.

595

nfclw=0.0 V^-1

Third coefficient of flicker noise for 1 um^2 channel area.

596

efo=1.0

Flicker noise frequency exponent.

597

lintnoi=0.0 m

Length offset for flicker noise.

598

alpnoi=2.0

Exponent for length offset for flicker noise.

599

kvthoweo=0

Geometrical independent threshold shift parameter.

600

kvthowel=0

Length dependent threshold shift parameter.

601

kvthowew=0

Width dependent threshold shift parameter.

602

kvthowelw=0

Area dependent threshold shift parameter.

603

kuoweo=0

Geometrical independent mobility degradation factor.

604

kuowel=0

Length dependent mobility degradation factor.

605

kuowew=0

Width dependent mobility degradation factor.

606

kuowelw=0

Area dependent mobility degradation factor.

607

munqso=1.0

Relative mobility for NQS modelling.

608

rgo=0.0

Gate resistance.

609

rint=0.0 m2

Contact resistance between silicide and ploy.

610

rvpoly=0.0 m2

Vertical poly resistance.

611

rshg=0.0 /Sqr

Gate electrode diffusion sheet resistance.

612

dlsil=0.0 m

Silicide extension over the physical gate length.

613

rsh=0.0 /sq

Sheet resistance of source diffusion.

614

rshd=0.0 /sq

Sheet resistance of drain diffusion.

615

rbulko=0.0

Bulk resistance between node BP and BI.

616

rwello=0.0

Well resistance between node BI and B.

617

rjunso=0.0

Source-side bulk resistance between node BI and BS.

618

rjundo=0.0

Drain-side bulk resistance between node BI and BD.

619

rtho=0.0 K/W

Geometry-independent part of thermal resistance.

620

rthw1=0.0 K/W

Width dependence of thermal resistance.

621

rthw2=0.0

Offset in width dependence of thermal resistance.

622

rthlw=0.0

Length-correction to width dependence of thermal resistance.

623

ctho=0.0 J/K

Geometry-independent part of thermal capacitance.

624

cthw1=0.0 J/K

Width dependence of thermal capacitance.

625

cthw2=0.0

Offset in width dependence of thermal capacitance.

626

cthlw=0.0

Length-correction to width dependence of thermal capacitance.

627

strtho=0.0

Temperature sensitivity of RTH.

628

saref=1.0e-6 m

Reference distance between OD-edge and poly from one side.

629

sbref=1.0e-6 m

Reference distance between OD-edge and poly from other side.

630

wlod=0 m

Width parameter.

631

kuo=0 m

Mobility degradation/enhancement coefficient.

632

kvsat=0 m

Saturation velocity degradation/enhancement coefficient.

633

tkuo=0

Temperature dependence of KUO.

634

lkuo=0 m^LLODKUO

Length dependence of KUO.

635

wkuo=0 m^WLODKUO

Width dependence of KUO.

636

pkuo=0 m^(LLODKUO+WLODKUO

Cross-term dependence of KUO.

637

llodkuo=0

Length parameter for UO stress effect.

638

wlodkuo=0

Width parameter for UO stress effect.

639

kvtho=0 Vm

Threshold shift parameter.

640

lkvtho=0 m^LLODVTH

Length dependence of KVTHO.

641

wkvtho=0 m^WLODVTH

Width dependence of KVTHO.

642

pkvtho=0 m^(LLODVTH+WLODVTH

Cross-term dependence of KVTHO.

643

llodvth=0

Length parameter for VTH-stress effect.

644

wlodvth=0

Width parameter for VTH-stress effect.

645

stetao=0 m

eta0 shift factor related to VTHO change.

646

lodetao=1.0

eta0 shift modification factor for stress effect.

647

scref=1.0e-6 m

Distance between OD-edge and well edge of a reference device.

648

web=0

Coefficient for SCB.

649

wec=0

Coefficient for SCC.

650

imax=1000 A

Maximum current up to which forward current behaves exponentially.

651

trj=21 C

reference temperature.

652

frev=1.0e3

Coefficient for reverse breakdown current limitation.

653

cjorbot=1E-3 Fm-2

Zero-bias capacitance per unit-of-area of bottom component for source-bulk junction.

654

cjorsti=1E-9 Fm^-1

Zero-bias capacitance per unit-of-length of STI-edge component for source-bulk junction.

655

cjorgat=1E-9 Fm^-1

Zero-bias capacitance per unit-of-length of gate-edge component for source-bulk junction.

656

vbirbot=1 V

Built-in voltage at the reference temperature of bottom component for source-bulk junction.

657

vbirsti=1 V

Built-in voltage at the reference temperature of STI-edge component for source-bulk junction.

658

vbirgat=1 V

Built-in voltage at the reference temperature of gate-edge component for source-bulk junction.

659

pbot=0.5

Grading coefficient of bottom component for source-bulk junction.

660

psti=0.5

Grading coefficient of STI-edge component for source-bulk junction.

661

pgat=0.5

Grading coefficient of gate-edge component for source-bulk junction.

662

phigbot=1.16 V

Zero-temperature bandgap voltage of bottom component for source-bulk junction.

663

phigsti=1.16 V

Zero-temperature bandgap voltage of STI-edge component for source-bulk junction.

664

phiggat=1.16 V

Zero-temperature bandgap voltage of gate-edge component for source-bulk junction.

665

idsatrbot=1E-12 Am-2

Saturation current density at the reference temperature of bottom component for source-bulk junction.

666

idsatrsti=1E-18 Am^-1

Saturation current density at the reference temperature of STI-edge component for source-bulk junction.

667

idsatrgat=1E-18 Am^-1

Saturation current density at the reference temperature of gate-edge component for source-bulk junction.

668

csrhbot=1E2 Am-3

Shockley-Read-Hall prefactor of bottom component for source-bulk junction.

669

csrhsti=1E-4 Am-2

Shockley-Read-Hall prefactor of STI-edge component for source-bulk junction.

670

csrhgat=1E-4 Am-2

Shockley-Read-Hall prefactor of gate-edge component for source-bulk junction.

671

xjunsti=100E-9 m

Junction depth of STI-edge component for source-bulk junction.

672

xjungat=100E-9 m

Junction depth of gate-edge component for source-bulk junction.

673

ctatbot=1E2 Am-3

Trap-assisted tunneling prefactor of bottom component for source-bulk junction.

674

ctatsti=1E-4 Am-2

Trap-assisted tunneling prefactor of STI-edge component for source-bulk junction.

675

ctatgat=1E-4 Am-2

Trap-assisted tunneling prefactor of gate-edge component for source-bulk junction.

676

mefftatbot=0.25

Effective mass (in units of m0) for trap-assisted tunneling of bottom component for source-bulk junction.

677

mefftatsti=0.25

Effective mass (in units of m0) for trap-assisted tunneling of STI-edge component for source-bulk junction.

678

mefftatgat=0.25

Effective mass (in units of m0) for trap-assisted tunneling of gate-edge component for source-bulk junction.

679

cbbtbot=1E-12 AV-3

Band-to-band tunneling prefactor of bottom component for source-bulk junction.

680

cbbtsti=1E-18 AV-3m

Band-to-band tunneling prefactor of STI-edge component for source-bulk junction.

681

cbbtgat=1E-18 AV-3m

Band-to-band tunneling prefactor of gate-edge component for source-bulk junction.

682

fbbtrbot=1E9 Vm^-1

Normalization field at the reference temperature for band-to-band tunneling of bottom component for source-bulk junction.

683

fbbtrsti=1E9 Vm^-1

Normalization field at the reference temperature for band-to-band tunneling of STI-edge component for source-bulk junction.

684

fbbtrgat=1E9 Vm^-1

Normalization field at the reference temperature for band-to-band tunneling of gate-edge component for source-bulk junction.

685

stfbbtbot=-1E-3 K^-1

Temperature scaling parameter for band-to-band tunneling of bottom component for source-bulk junction.

686

stfbbtsti=-1E-3 K^-1

Temperature scaling parameter for band-to-band tunneling of STI-edge component for source-bulk junction.

687

stfbbtgat=-1E-3 K^-1

Temperature scaling parameter for band-to-band tunneling of gate-edge component for source-bulk junction.

688

vbrbot=10 V

Breakdown voltage of bottom component for source-bulk junction.

689

vbrsti=10 V

Breakdown voltage of STI-edge component for source-bulk junction.

690

vbrgat=10 V

Breakdown voltage of gate-edge component for source-bulk junction.

681

pbrbot=4 V

Breakdown onset tuning parameter of bottom component for source-bulk junction.

692

pbrsti=4 V

Breakdown onset tuning parameter of STI-edge component for source-bulk junction.

693

pbrgat=4 V

Breakdown onset tuning parameter of gate-edge component for source-bulk junction.

694

cjorbotd=1E-3 Fm-2

Zero-bias capacitance per unit-of-area of bottom component for drain-bulk junction.

695

cjorstid=1E-9 Fm^-1

Zero-bias capacitance per unit-of-length of STI-edge component for drain-bulk junction.

696

cjorgatd=1E-9 Fm^-1

Zero-bias capacitance per unit-of-length of gate-edge component for drain-bulk junction.

697

vbirbotd=1 V

Built-in voltage at the reference temperature of bottom component for drain-bulk junction.

698

vbirstid=1 V

Built-in voltage at the reference temperature of STI-edge component for drain-bulk junction.

699

vbirgatd=1 V

Built-in voltage at the reference temperature of gate-edge component for drain-bulk junction.

700

pbotd=0.5

Grading coefficient of bottom component for drain-bulk junction.

701

pstid=0.5

Grading coefficient of STI-edge component for drain-bulk junction.

702

pgatd=0.5

Grading coefficient of gate-edge component for drain-bulk junction.

703

phigbotd=1.16 V

Zero-temperature bandgap voltage of bottom component for drain-bulk junction.

704

phigstid=1.16 V

Zero-temperature bandgap voltage of STI-edge component for drain-bulk junction.

705

phiggatd=1.16 V

Zero-temperature bandgap voltage of gate-edge component for drain-bulk junction.

706

idsatrbotd=1E-12 Am-2

Saturation current density at the reference temperature of bottom component for drain-bulk junction.

707

idsatrstid=1E-18 Am^-1

Saturation current density at the reference temperature of STI-edge component for drain-bulk junction.

708

idsatrgatd=1E-18 Am^-1

Saturation current density at the reference temperature of gate-edge component for drain-bulk junction.

709

csrhbotd=1E2 Am-3

Shockley-Read-Hall prefactor of bottom component for drain-bulk junction.

710

csrhstid=1E-4 Am-2

Shockley-Read-Hall prefactor of STI-edge component for drain-bulk junction.

711

csrhgatd=1E-4 Am-2

Shockley-Read-Hall prefactor of gate-edge component for drain-bulk junction.

712

xjunstid=100E-9 m

Junction depth of STI-edge component for drain-bulk junction.

713

xjungatd=100E-9 m

Junction depth of gate-edge component for drain-bulk junction.

714

ctatbotd=1E2 Am-3

Trap-assisted tunneling prefactor of bottom component for drain-bulk junction.

715

ctatstid=1E-4 Am-2

Trap-assisted tunneling prefactor of STI-edge component for drain-bulk junction.

716

ctatgatd=1E-4 Am-2

Trap-assisted tunneling prefactor of gate-edge component for drain-bulk junction.

717

mefftatbotd=0.25

Effective mass (in units of m0) for trap-assisted tunneling of bottom component for drain-bulk junction.

718

mefftatstid=0.25

Effective mass (in units of m0) for trap-assisted tunneling of STI-edge component for drain-bulk junction.

719

mefftatgatd=0.25

Effective mass (in units of m0) for trap-assisted tunneling of gate-edge component for drain-bulk junction.

720

cbbtbotd=1E-12 AV-3

Band-to-band tunneling prefactor of bottom component for drain-bulk junction.

721

cbbtstid=1E-18 AV-3m

Band-to-band tunneling prefactor of STI-edge component for drain-bulk junction.

722

cbbtgatd=1E-18 AV-3m

Band-to-band tunneling prefactor of gate-edge component for drain-bulk junction.

723

fbbtrbotd=1E9 Vm^-1

Normalization field at the reference temperature for band-to-band tunneling of bottom component for drain-bulk junction.

724

fbbtrstid=1E9 Vm^-1

Normalization field at the reference temperature for band-to-band tunneling of STI-edge component for drain-bulk junction.

725

fbbtrgatd=1E9 Vm^-1

Normalization field at the reference temperature for band-to-band tunneling of gate-edge component for drain-bulk junction.

726

stfbbtbotd=-1E-3 K^-1

Temperature scaling parameter for band-to-band tunneling of bottom component for drain-bulk junction.

727

stfbbtstid=-1E-3 K^-1

Temperature scaling parameter for band-to-band tunneling of STI-edge component for drain-bulk junction.

728

stfbbtgatd=-1E-3 K^-1

Temperature scaling parameter for band-to-band tunneling of gate-edge component for drain-bulk junction.

729

vbrbotd=10 V

Breakdown voltage of bottom component for drain-bulk junction.

730

vbrstid=10 V

Breakdown voltage of STI-edge component for drain-bulk junction.

731

vbrgatd=10 V

Breakdown voltage of gate-edge component for drain-bulk junction.

732

pbrbotd=4 V

Breakdown onset tuning parameter of bottom component for drain-bulk junction.

733

pbrstid=4 V

Breakdown onset tuning parameter of STI-edge component for drain-bulk junction.

734

pbrgatd=4 V

Breakdown onset tuning parameter of gate-edge component for drain-bulk junction.

735

swjunexp=0

Flag for JUNCAP-express; 0,full model, 1,express model.

736

vjunref=2.5

Typical maximum source-bulk junction voltage; usually about 2*VSUP.

737

fjunq=0.03

Fraction below which source-bulk junction capacitance components are considered negligible.

738

vjunrefd=2.5

Typical maximum drain-bulk junction voltage; usually about 2*VSUP.

739

fjunqd=0.03

Fraction below which drain-bulk junction capacitance components are considered negligible.

740

dta=0.0 K

Temperature offset w.r.t. ambient temperature.

741

noisemethod=oldcmi

Induced gate noise implementation. Possible values are oldcmi and subckt.

742

swqsat=0

Flag for separate capacitance calculation in saturation only: 0=off, 1=on.

743

swqpart=0

Flag for drain/source charge partitioning; 0=linear distribution, 1=source.Flag for drain/source charge partitioning; 0=linear distribution, 1=source.

744

cfac=0.0

DIBL-parameter of charge model when SWQSAT=1.

745

thesatac=1.0 V^-1

Velocity saturation parameter at TR of charge model when SWQSAT=1.

746

axac=3.0

Linear/saturation transition factor of charge model when SWQSAT=1.

747

alpac=0.01

CLM pre-factor of charge model when SWQSAT=1.

748

gc2ov=0.375

Gate overlap current slope factor, used only when SWIGATE=2.

749

gc3ov=0.063

Gate overlap current curvature factor, used only when SWIGATE=2.

750

cfacl=0.0

Length dependence of DIBL-parameter of charge model when SWQSAT=1.

751

cfaclexp=2.0

Exponent for length dependence of CF.

752

cfacw=0.0

Width dependence of CF.

753

thesataco=0.0 V^-1

Geometry-independent velocity saturation parameter at TR of charge model when SWQSAT=1.

754

thesatacl=0.05 V^-1

Length dependence of THESATAC.

755

thesataclexp=1.0

Exponent for length dependence of THESATAC.

756

thesatacw=0.0

Width dependence of THESATAC.

757

thesataclw=0.0

Area dependence of THESATAC.

758

axaco=18.0

Geometry-independent linear/saturation transition factor of charge model when SWQSAT=1.

759

axacl=0.4

Length dependence of AXAC.

760

alpacl=5.0e-4

Length dependence of ALPAC.

761

alpaclexp=1.0

Exponent for length dependence of ALPAC.

762

alpacw=0.0

Width dependence of ALPAC.

763

gc2ovo=0.375

Gate overlap current slope factor, used only when SWIGATE=2.

764

gc3ovo=0.063

Gate overlap current curvature factor, used only when SWIGATE=2.

765

pocfac=0.0

Coefficient for the geometry dependence of CFAC.

766

plcfac=0.0

Coefficient for the length dependence of CFAC.

767

pwcfac=0.0

Coefficient for the width dependence of CFAC.

768

plwcfac=0.0

Coefficient for the length times width dependence of CFAC.

769

pothesatac=1.0 V^-1

Coefficient for the geometry-independent part of THESATAC.

770

plthesatac=0.0 V^-1

Coefficient for the length dependence of THESATAC.

771

pwthesatac=0.0 V^-1

Coefficient for the width dependence of THESATAC.

772

plwthesatac=0.0 V^-1

Coefficient for the length times width dependence of THESATAC.

773

poaxac=3.0

Coefficient for the geometry-independent part of AXAC.

774

plaxac=0.0

Coefficient for the length dependence of AXAC.

775

pwaxac=0.0

Coefficient for the width dependence of AXAC.

776

plwaxac=0.0

Coefficient for the length times width dependence of AXAC.

777

poalpac=1.0e-2

Coefficient for the geometry-independent part of ALPAC.

778

plalpac=0.0

Coefficient for the length dependence of ALPAC

779

pwalpac=0.0

Coefficient for the width dependence of ALPAC.

780

plwalpac=0.0

Coefficient for the length times width dependence of ALPAC.

781

pogc2ov=0.375

Coefficient for the geometry-independent part of GC2OV, used only when SWIGATE=2.

782

pogc3ov=0.063

Coefficient for the geometry-independent part of GC3OV, used only when SWIGATE=2.

783

kvsatac=0.0 m

Saturation velocity degradation/enhancement coefficient of charge model when SWQSAT=1.

784

betnedge=5.0e-4 m2/V/s

Channel aspect ratio times zero-field mobility of edge transistor.

785

stbetedge=1.0

Temperature dependence of BETNEDGE.

786

betedgew=0.0

Width scaling coefficient of edge transistor mobility.

787

cfbedge=0.0 V^-1

Bulk voltage dependence parameter of DIBL-parameter of edge transistors.

788

cfbedgeo=0.0 V^-1

Bulk voltage dependence parameter of DIBL-parameter of edge transistors.

789

cfd=0.0 V^-1

Drain voltage dependence of CF.

790

cfdedge=0.0 V^-1

Drain voltage dependence parameter of DIBL-parameter of edge transistors.

791

cfdedgeo=0.0 V^-1

Drain voltage dependence parameter of DIBL-parameter of edge transistors.

792

cfdo=0.0 V^-1

Drain voltage dependence of CF.

793

cfedge=0.0

DIBL parameter of edge transistors.

794

cfedgel=0.0

Length dependence of DIBL-parameter of edge transistors.

795

cfedgelexp=2.0

Exponent for length dependence of DIBL-parameter of edge transistors.

796

cfedgew=0.0

Width dependence of DIBL-parameter of edge transistors.

797

ctedge=0.0

Interface states factor of edge transistors.

798

ctedgeo=0.0

Geometry-independent interface states factor of edge transistors.

799

ctedgel=0.0

Length dependence of interface states factor of edge transistors.

800

ctedgelexp=1.0

Exponent for length dependence of interface states factor of edge transistors.

801

dphibedge=0.0 V

Offset parameter for PHIB of edge transistors.

802

dphibedgeo=0.0 V

Geometry-independent of edge transistor PHIB offset.

803

dphibedgel=0.0 V

Length dependence of edge transistor PHIB offset.

804

dphibedgelexp=1.0

Exponent for length dependence of edge transistor PHIB offset.

805

dphibedgew=0.0 V

Width dependence of edge transistor PHIB offset.

806

dphibedgelw=0.0 V

Area dependence of edge transistor PHIB offset.

807

efedge=1.0

Flicker noise frequency exponent of edge transistors.

808

efedgeo=1.0

Flicker noise frequency exponent.

809

fbetedge=0.0

Length dependence of edge transistor mobility.

810

fntedge=1.0

Thermal noise coefficient of edge transistors.

811

fntedgeo=1.0

Thermal noise coefficient.

812

lpedge=1.0e-8 m

Exponent for length dependence of edge transistor mobility.

813

neffedge=5.0e23 m-3

Effective substrate doping of edge transistors.

814

nfaedge=8.0e22 V^-1/m4

First coefficient of flicker noise of edge transistors.

815

nfaedgelw=8.0e22 V^-1/m4

First coefficient of flicker noise for 1 um^2 channel area.

816

nfbedge=3.0e07 V^-1/m2

Second coefficient of flicker noise of edge transistors.

817

nfbedgelw=3.0e7 V^-1/m2

Second coefficient of flicker noise for 1 um^2 channel area.

818

nfcedge=0.0 V^-1

Third coefficient of flicker noise of edge transistors.

819

nfcedgelw=0.0 V^-1

Third coefficient of flicker noise for 1 um^2 channel area.

820

nsubedgel=0.0

Length dependence of edge transistor substrate doping.

821

nsubedgew=0.0

Width dependence of edge transistor substrate doping.

822

nsubedgelw=0.0

Area dependence of edge transistor substrate doping.

823

nsubedgeo=5.0e23 m-3

Geometry-independent substrate doping of edge transistors.

824

psce=0.0

Subthreshold slope coefficient for short channel transistor.

825

psceb=0.0 V^-1

Bulk voltage dependence parameter of subthreshold slope coefficient for short channel transistor.

826

pscebedge=0.0 V^-1

Bulk voltage dependence parameter of subthreshold slope coefficient for short channel edge transistors.

pscebedgeo=0.0 V^-1

Bulk voltage dependence parameter of subthreshold slope coefficient for short channel edge transistors.

827

pscebo=0.0 V^-1

Bulk voltage dependence parameter of subthreshold slope coefficient for short channel transistor.

psced=0.0 V^-1

Drain voltage dependence parameter of subthreshold slope coefficient for short channel transistor.

828

pscededge=0.0 V^-1

Drain voltage dependence parameter of subthreshold slope coefficient for short channel edge transistors.

829

pscedo=0.0 V^-1

Drain voltage dependence parameter of subthreshold slope coefficient for short channel transistor.

830

pscededgeo=0.0 V^-1

Drain voltage dependence parameter of subthreshold slope coefficient for short channel edge transistors.

831

psceedge=0.0

Subthreshold slope coefficient for short channel edge transistors.

832

psceedgel=0.0

Length dependence of subthreshold slope coefficient for short channel edge transistors.

833

psceedgelexp=2.0

Exponent for length dependence of subthreshold slope coefficient for short channel edge transistors.

834

psceedgew=0.0

Exponent for length dependence of subthreshold slope coefficient for short channel edge transistor.

835

pscel=0.0

Length dependence of subthreshold slope coefficient for short channel transistor.

836

pscelexp=2.0

Exponent for length dependence of subthreshold slope coefficient for short channel transistor.

837

pscew=0.0

Exponent for length dependence of subthreshold slope coefficient for short channel transistor.

838

stbetedgeo=1.0

Geometry-independent temperature dependence of BETNEDGE.

839

stbetedgel=0.0

Length dependence of temperature dependence of BETNEDGE.

840

stbetedgew=0.0

Width dependence of temperature dependence of BETNEDGE.

841

stbetedgelw=0.0

Area dependence of temperature dependence of BETNEDGE.

842

stvfbedge=5.0e-4 V/K

Temperature dependence of VFBEDGE.

843

stvfbedgeo=5.0e-4 V/K

Geometry-independent temperature dependence of VFBEDGE.

844

stvfbedgel=0.0 V/K

Length dependence of temperature dependence of VFBEDGE.

845

stvfbedgew=0.0 V/K

Width dependence of temperature dependence of VFBEDGE.

846

stvfbedgelw=0.0 V/K

Area dependence of temperature dependence of VFBEDGE.

847

vfbedge=(-1.0) V

Flat band voltage of edge transistors at TR.

848

vfbedgeo=(-1.0) V

Geometry-independent flat-band voltage of edge transistors at TR.

849

wedge=1.0e-8 m

Electrical width of edge transistor per side.

850

wedgew=0.0

Width dependence of edge WEDGE.

851

w=10e-6 m

Default width.

852

l=10e-6 m

Default length.

853

nf=1

Number of fingers, It served as the default value of instance nf.

854

vds_max=infinity V

Maximum allowed voltage cross source and drain.

855

vgd_max=infinity V

Maximum allowed voltage cross gate and drain.

856

vgs_max=infinity V

Maximum allowed voltage cross gate and source/bulk.

857

vbd_max=infinity V

Maximum allowed voltage cross source/drain and bulk.

858

vbs_max=vbd_max V

Maximum allowed voltage cross source and bulk.

859

vgb_max=infinity V

Maximum allowed voltage cross gate and bulk.

860

vgdr_max=vgd_max V

Maximum allowed reverse voltage cross gate and drain.

861

vgsr_max=vgs_max V

Maximum allowed reverse voltage cross gate and source.

862

vgbr_max=vgb_max V

Maximum allowed reverse voltage cross gate and bulk.

863

vbsr_max=vbs_max V

Maximum allowed reverse voltage cross source and bulk.

864

vbdr_max=vbd_max V

Maximum allowed reverse voltage cross source/drain and bulk.

865

vbsr_max=vbs_max V

Maximum allowed reverse voltage cross source and bulk.

866

vbdr_max=vbd_max V

Maximum allowed reverse voltage cross source/drain and bulk.

867

vthmod

Vth output selector. 'std' outputs model equation Vth. 'vthcc' outputs constant current Vth, and may impact simulation performance. The default value is taken from the options parameter 'vthmod'. Possible values are std and vthcc.

868

ivth (A)

Vth current parameter. The default value is taken from the options parameter 'ivthn' or 'ivthp', depending on the type of the model.

869

ivthw (m)

Width offset for constant current Vth. The default value is taken from the options parameter 'ivthw'.

870

ivthl (m)

Length offset for constant current Vth. The default value is taken from the options parameter 'ivthl'.

871

ivth_vdsmin (V)

Minimum Vds in constant current Vth calculating. The default value is taken from the options parameter 'ivth_vdsmin'.

872

st2vfb=0.0 k-1

Quadratic temperature dependence of VFB.

873

thecs=2.0

Coulomb scattering exponent at TR.

874

stthecs=0.0

Temperature dependence of THECS.

875

post2vfb=0.0 k-1

Coefficient for the geometry-independent part of ST2VFB.

876

potthecs=2.0

Coefficient for the geometry-independent part of THECS.

877

postthecs=0.0

Coefficient for the geometry-independent part of STTHECS.

878

st2vfb0=0.0 k-1

Quadratic temperature dependence of VFB.

879

thecso=2.0

Coulomb scattering exponent at TR.

880

stthecso=0.0

Temperature dependence of THECS.

881

ctg=0.0

Gate voltage dependence of interface states factor.

882

ctb=0.0

Bulk voltage dependence of interface states factor.

883

stct=1.0

Geometry-independent temperature dependence of CT.

884

poctg=0.0

Coefficient for the geometry-independent part of CTG.

885

poctb=0.0

Coefficient for the geometry-independent part of CTB.

886

postct=1.0

Coefficient for the geometry-independent part of STCT.

887

ctbo=0.0

Bulk voltage dependence of interface states factor.

888

stcto=1.0

Geometry-independent temperature dependence of CT.

889

ctgo=0.0

Gate voltage dependence of interface states factor.

890

nsubedgelexp=1.0

Exponent for length dependence of edge transistor substrate doping.

891

compatible=spectre

Encourage device equations to be compatible with a foreign simulator. This option does not affect input syntax.
Possible values are spectre, spice2, spice3, cdsspice, spiceplus, eldo, sspice, mica, tispice and pspice.

Output Parameters

1

weff (m)

Effective channel width for geometrical models.

2

leff (m)

Effective channel length for geometrical models.

3

lp_stvfb (V/K)

Local parameter STVFB after clipping.

4

lp_tox (m)

Local parameter TOX after clipping.

5

lp_epsrox

Local parameter EPSROX after clipping.

6

lp_neff (m-3)

Local parameter NEFF after clipping.

7

lp_facneffac

Local parameter FACNEFFAC after clipping.

8

lp_gfacnud

Local parameter GFACNUD after clipping.

9

lp_vsbnud (V)

Local parameter VSBNUD after clipping.

10

lp_dvsbnud (V)

Local parameter DVSBNUD after clipping.

11

lp_vnsub (V)

Local parameter VNSUB after clipping.

12

lp_nslp (V)

Local parameter NSLP after clipping.

13

lp_dnsub (V^-1)

Local parameter DNSUB after clipping.

14

lp_dphib (V)

Local parameter DPHIB after clipping.

15

lp_delvtac (V)

Local parameter DELVTAC after clipping.

16

lp_np (m-3)

Local parameter NP after clipping.

17

lp_toxov (m)

Local parameter TOXOV after clipping.

18

lp_toxovd (m)

Local parameter TOXOVD after clipping.

19

lp_nov (m-3)

Local parameter NOV after clipping.

20

lp_novd (m-3)

Local parameter NOVD after clipping.

21

lp_cf

Local parameter CF after clipping.

22

lp_cfd (V^-1)

Local parameter CFD after clipping.

23

lp_cfb (V^-1)

Local parameter CFB after clipping.

24

lp_psce

Local parameter PSCE after clipping.

25

lp_psceb (V^-1)

Local parameter PSCEB after clipping.

26

lp_psced (V^-1)

Local parameter PSCED after clipping.

27

lp_stbet

Local parameter STBET after clipping.

28

lp_stmue

Local parameter STMUE after clipping.

29

lp_stthemu

Local parameter STTHEMU after clipping.

30

lp_stcs

Local parameter STCS after clipping.

31

lp_stxcor

Local parameter STXCOR after clipping.

32

lp_feta

Local parameter FETA after clipping.

33

lp_strs

Local parameter STRS after clipping.

34

lp_rsb (V^-1)

Local parameter RSB after clipping.

35

lp_rsg (V^-1)

Local parameter RSG after clipping.

36

lp_stthesat

Local parameter STTHESAT after clipping.

37

lp_thesatb (V^-1)

Local parameter THESATB after clipping.

38

lp_thesatg (V^-1)

Local parameter THESATG after clipping.

39

lp_ax

Local parameter AX after clipping.

40

lp_alp

Local parameter ALP after clipping.

41

lp_alp1 (V)

Local parameter ALP1 after clipping.

42

lp_alp2 (V^-1)

Local parameter ALP2 after clipping.

43

lp_vp (V)

Local parameter VP after clipping.

44

lp_a1

Local parameter A1 after clipping.

45

lp_sta2

Local parameter STA2 after clipping.

46

lp_a3

Local parameter A3 after clipping.

47

lp_a4 (m-3)

Local parameter A4 after clipping.

48

lp_gco

Local parameter GCO after clipping.

49

lp_iginv (A)

Local parameter IGINV after T-scaling and clipping.

50

lp_igov (A)

Local parameter IGOV after T-scaling and clipping.

51

lp_igovd (A)

Local parameter IGOVD after T-scaling and clipping.

52

lp_stig

Local parameter STIG after clipping.

53

lp_gc2

Local parameter GC2 after clipping.

54

lp_gc3

Local parameter GC3 after clipping.

55

lp_chib (V)

Local parameter CHIB after clipping.

56

lp_agidl (A/V3)

Local parameter AGIDL after clipping.

57

lp_agidld (A/V3)

Local parameter AGIDLD after clipping.

58

lp_bgidl (V)

Local parameter BGIDL after T-scaling and clipping.

59

lp_bgidld (V)

Local parameter BGIDLD after T-scaling and clipping.

60

lp_stbgidl (V/K)

Local parameter STBGIDL after clipping.

61

lp_stbgidld (V/K)

Local parameter STBGIDLD after clipping.

62

lp_cgidl

Local parameter CGIDL after clipping.

63

lp_cgidld

Local parameter CGIDLD after clipping.

64

lp_cox (F)

Local parameter COX after clipping.

65

lp_cgov (F)

Local parameter CGOV after clipping.

66

lp_cgovd (F)

Local parameter CGOVD after clipping.

67

lp_cgbov (F)

Local parameter CGBOV after clipping.

68

lp_cfr (F)

Local parameter CFR after clipping.

69

lp_cfrd (F)

Local parameter CFRD after clipping.

70

lp_fnt

Local parameter FNT after clipping.

71

lp_fntexc

Local parameter FNTEXC after clipping.

72

lp_nfa (1/(V m4))

Local parameter NFA after clipping.

73

lp_nfb (1/(V m2))

Local parameter NFB after clipping.

74

lp_nfc (V^-1)

Local parameter NFC after clipping.

75

lp_ef

Local parameter EF after clipping.

76

lp_rg ()

Local parameter RG after clipping.

77

lp_rse ()

Local parameter RSE after clipping.

78

lp_rde ()

Local parameter RDE after clipping.

79

lp_rbulk ()

Local parameter RBULK after clipping.

80

lp_rwell ()

Local parameter RWELL after clipping.

81

lp_rjuns ()

Local parameter RJUNS after clipping.

82

lp_rjund ()

Local parameter RJUND after clipping.

83

lp_rth (K/W)

Local parameter RTH after T-scaling and clipping.

84

lp_cth (J/K)

Local parameter CTH after clipping.

85

lp_strth

Local parameter STRTH after clipping.

86

lp_vfbedge (V)

Local parameter VFBEDGE after T-scaling and clipping.

87

lp_stvfbedge (V/K)

Local parameter STVFBEDGE after clipping.

88

lp_dphibedge (V)

Local parameter DPHIBEDGE after clipping.

89

lp_neffedge (m-3)

Local parameter NEFFEDGE after clipping.

90

lp_ctedge

Local parameter CTEDGE after clipping.

91

lp_betnedge (m2/V/s)

Local parameter BETNEDGE after T-scaling and clipping.

92

lp_stbetedge

Local parameter STBETEDGE after clipping.

93

lp_psceedge

Local parameter PSCEEDGE after clipping.

94

lp_pscebedge (V^-1)

Local parameter PSCEBEDGE after clipping.

95

lp_pscededge (V^-1)

Local parameter PSCEDEDGE after clipping.

96

lp_cfedge (V)

Local parameter CFEDGE after clipping.

97

lp_cfdedge ( V^-1)

Local parameter CFDEDGE after clipping.

98

lp_cfbedge ( V^-1)

Local parameter CFBEDGE after clipping.

99

lp_fntedge ( )

Local parameter FNTEDGE after clipping.

100

lp_nfaedge ( 1/(V m4))

Local parameter NFAEDGE after clipping.

101

lp_nfbedge ( 1/(V m4))

Local parameter NFBEDGE after clipping.

102

lp_nfcedge ( V^-1)

Local parameter NFCEDGE after clipping.

103

lp_efedge

Local parameter EFEDGE after clipping.

104

cjosbot (F)

Bottom component of total zero-bias source junction capacitance at device temperature.

105

cjossti (F)

STI-edge component of total zero-bias source junction capacitance at device temperature.

106

cjosgat (F)

Gate-edge component of total zero-bias source junction capacitance at device temperature.

107

vbisbot (V)

Built-in voltage of source-side bottom junction at device temperature.

108

vbissti (V)

Built-in voltage of source-side STI-edge junction at device temperature.

109

vbisgat (V)

Built-in voltage of source-side gate-edge junction at device temperature.

110

idsatsbot (A)

Total source-side bottom junction saturation current.

111

idsatssti (A)

Total source-side STI-edge junction saturation current.

112

idsatsgat (A)

Total source-side gate-edge junction saturation current.

113

cjosbotd (F)

Bottom component of total zero-bias drain junction capacitance at device temperature.

114

cjosstid (F)

STI-edge component of total zero-bias drain junction capacitance at device temperature.

115

cjosgatd (F)

Gate-edge component of total zero-bias drain junction capacitance at device temperature.

116

vbisbotd (V)

Built-in voltage of drain-side bottom junction at device temperature.

117

vbisstid (V)

Built-in voltage of drain-side STI-edge junction at device temperature.

118

vbisgatd (V)

Built-in voltage of drain-side gate-edge junction at device temperature.

119

idsatsbotd (A)

Total drain-side bottom junction saturation current.

120

idsatsstid (A)

Total drain-side STI-edge junction saturation current.

121

idsatsgatd (A)

Total drain-side gate-edge junction saturation current.

122

lp_munqs

Local parameter MUNQS after clipping.

123

lv2 (m)

Alias of w.

124

lv1 (m)

Alias of l.

125

lv3 (m2)

Alias of ad.

126

lv4 (m2)

Alias of as.

127

lv11 (m)

Alias of pd.

128

lv12 (m)

Alias of ps.

129

tempeff (C)

Effective temperature for a single device.

130

meff

Effective multiplicity factor (m-factor).

131

lp_st2vfb (K^-1)

Local parameter ST2VFB after clipping.

132

lp_stthecs

Local parameter STTHECS after clipping.

133

lp_ctb

Local parameter CTB after clipping.

134

lp_stct

Local parameter STCT after clipping.

Operating-Point Parameters

1

region=triode

Estimated operating region. %Z outputs the number (0-4) in a rawfile.

Possible values are off, triode, sat, subth, and breakdown.

2

ctype

Flag for channel type.

3

sdint

Flag for source-drain interchange.

4

ise (A)

Total source current.

5

ige (A)

Total gate current.

6

ide (A)

Total drain current.

7

ibe (A)

Total bulk current.

8

is (A)

Total source current.

9

ig (A)

Total gate current.

10

id (A)

Total drain current.

11

ib (A)

Total bulk current.

12

ids (A)

Drain current, excluding avalanche, tunnel, GISL, GIDL, and junction currents.

13

idb (A)

Drain to bulk current.

14

isb (A)

Source to bulk current.

15

igs (A)

Gate-source tunneling current.

16

igd (A)

Gate-drain tunneling current.

17

igb (A)

Gate-bulk tunneling current.

18

idedge (A)

Drain current of edge transistors.

19

igcs (A)

Gate-channel tunneling current (source component).

20

igcd (A)

Gate-channel tunneling current (drain component).

21

iavl (A)

Substrate current due to weak avalanche.

22

igisl (A)

Gate-induced source leakage current.

23

igidl (A)

Gate-induced drain leakage current.

24

ijs (A)

Total source junction current.

25

ijsbot (A)

Source junction current (bottom component).

26

ijsgat (A)

Source junction current (gate-edge component).

27

ijssti (A)

Source junction current (STI-edge component).

28

ijd (A)

Total drain junction current.

29

ijdbot (A)

Drain junction current (bottom component).

30

ijdgat (A)

Drain junction current (gate-edge component).

31

ijdsti (A)

Drain junction current (STI-edge component).

32

qg (Coul)

Intrinsic gate charge.

33

qd (Coul)

Intrinsic drain charge.

34

qb (Coul)

Intrinsic bulk charge.

35

qs (Coul)

Intrinsic source charge.

36

qgs_ov (Coul)

Overlap charge for gate-source.

37

qgd_ov (Coul)

Overlap charge for gate-drain.

38

qfgs (Coul)

Total outerFringe + overlap for gate-source.

39

qfgd (Coul)

Total outerFringe + overlap for gate-drain.

40

qgb_ov (Coul)

Gate-bulk overlap charge.

41

qjun_s (Coul)

Junction charge on source side.

42

qjun_d (Coul)

Junction charge on drain side.

43

vds (V)

Drain-source voltage.

44

vgs (V)

Gate-source voltage.

45

vgd (V)

Gate-drain voltage.

46

vsb (V)

Source-bulk voltage.

47

vdb (V)

Drain-bulk voltage.

48

vth0 (V)

Zero-bias threshold voltage.

49

vto (V)

Zero-bias threshold voltage.

50

vts (V)

Threshold voltage including back bias effects.

51

vth (V)

Threshold voltage including back bias and drain bias effects.

52

vgt (V)

Effective gate drive voltage including back bias and drain bias effects.

53

vth_drive (V)

Effective gate drive voltage including back bias and drain bias effects. Alias for Vgt..

54

vdss (V)

Drain saturation voltage at actual bias.

55

vdsat (V)

Drain saturation voltage at actual bias.

56

vsat

Saturation limit.

57

vdsat_marg

Saturation limit.

58

pwr (W)

Power at op point.

59

gm (1/)

Transconductance.

60

gmb (1/)

Substrate transconductance.

61

go (1/)

Output conductance.

62

gds (1/)

Output conductance.

63

gjs (1/)

Source junction conductance.

64

gjd (1/)

Drain junction conductance.

65

cdd (F)

Drain capacitance.

66

cdg (F)

Drain-gate capacitance.

67

cds (F)

Drain-source capacitance.

68

cdb (F)

Drain-bulk capacitance.

69

cgd (F)

Gate-drain capacitance.

70

cgg (F)

Gate capacitance.

71

cgs (F)

Gate-source capacitance.

72

cgb (F)

Gate-bulk capacitance.

73

csd (F)

Source-drain capacitance.

74

csg (F)

Source-gate capacitance.

75

css (F)

Source capacitance.

76

csb (F)

Source-bulk capacitance.

77

cbd (F)

Bulk-drain capacitance.

78

cbg (F)

Bulk-gate capacitance.

79

cbs (F)

Bulk-source capacitance.

80

cbb (F)

Bulk capacitance.

81

co (F)

Output Drain-Source capacitance.

82

cm (F)

Capacitance element 1 for QS model.

83

cmb (F)

Capacitance element 2 for QS model.

84

cmx (F)

Capacitance element 3 for QS model.

85

tau1 (s)

Time constant related to NQS first frequency pole.

86

fqslim (Hz)

QS model frequency limit.

87

cgsol (F)

Total gate-source overlap capacitance.

88

cgdol (F)

Total gate-drain overlap capacitance.

89

cgbol (F)

Total gate-bulk overlap capacitance.

90

cjs (F)

Total source junction capacitance.

91

cjsbot (F)

Source junction capacitance (bottom component).

92

cjsgat (F)

Source junction capacitance (gate-edge component).

93

cjssti (F)

Source junction capacitance (STI-edge component).

94

cjd (F)

Total drain junction capacitance.

95

cjdbot (F)

Drain junction capacitance (bottom component).

96

cjdgat (F)

Drain junction capacitance (gate-edge component).

97

cjdsti (F)

Drain junction capacitance (STI-edge component).

98

lpoly (m)

Length of poly.

99

u

Transistor gain.

100

self_gain

Transistor gain.

101

rout ()

Small-signal output resistance.

102

vearly (V)

Equivalent early voltage.

103

beff (A/V2)

Gain factor.

104

GmoverI (1/V)

Transconductance efficiency.

105

fug (Hz)

Unity gain frequency at actual bias.

106

ft (Hz)

Unity gain frequency at actual bias.

107

rg ()

Gate resistance.

108

rgate ()

Gate resistance.

109

sfl

Flicker noise current density at 1 Hz.

110

sqrtsff

Input-referred RMS white noise voltage density at 1 kHz.

111

sqrtsfw

Input-referred RMS white noise voltage density.

112

sid

White noise current density.

113

sig

Induced gate noise current density at 1 Hz.

114

cigid

Imaginary part of correlation coefficient between Sig and Sid.

115

noi_mid

116

noi_mig

117

noi_migid

118

noi_cgeff

119

noi_cigid

120

fknee

Cross-over frequency above which  white noise is dominant.

121

sigs

Gate-source current noise spectral density.

122

sigd

Gate-drain current noise spectral density.

123

siavl

Impact ionization current noise spectral density.

124

ssi

Total source junction current noise spectral density.

125

sdi

Total drain junction current noise spectral density.

126

sfledge (A2/Hz)

Flicker noise current spectral density at 1 Hz of edge transistors.

127

sidedge (A2/Hz)

White noise current spectral density of edge transistors.

128

lp_vfb (V)

Local parameter VFB after T-scaling and clipping.

129

lp_ct

Local parameter CT after clipping.

130

lp_betn (m2/(V s)

Local parameter BETN after T-scaling and clipping.

131

lp_mue (m/V)

Local parameter MUE after T-scaling and clipping.

132

lp_themu

Local parameter THEMU after T-scaling and clipping.

133

lp_cs

Local parameter CS after T-scaling and clipping.

134

lp_xcor (V^-1)

Local parameter XCOR after T-scaling and clipping.

135

lp_rs ()

Local parameter RS after T-scaling and clipping.

136

lp_thesat (V^-1)

Local parameter THESAT after T-scaling and clipping.

137

lp_a2 (V)

Local parameter A2 after T-scaling and clipping.

138

pdiss (W)

Power dissipation.

139

dtsh (K)

Temperature rise due to self heating.

140

tk (K)

Device Temperature.

141

vbs (V)

Bulk-source voltage.

142

lv13

Alias of nrd.

143

lv14

Alias of nrs.

144

lv36 (F)

Alias of cgsol.

145

lv37 (F)

Alias of cgdol.

146

lv38 (F)

Alias of cgbol.

147

lv51 (m)

Alias of tox.

148

lp_thecs

Local parameter THECS after T-scaling and clipping.

149

lp_ctg

Local parameter CTG after clipping.

150

lp_cfac

Local parameter CFAC after clipping.

151

lp_thesatac (V^-1)

Local parameter THESATAC after T-scaling and clipping.

152

lp_axac

Local parameter AXAC after clipping.

153

lp_alpac

Local parameter ALPAC after clipping.

154

lp_gc2ov

Local parameter GC2OV after clipping.

155

lp_gc3ov

Local parameter GC3OV after clipping.

156

OPdef

1: Device Physics notation. 2: Circuit Simulator notation.

157

SDop

Operation mode related to channel type and drain-source voltage sign.
Possible values are Forward and Reverse.

Parameter Index

In the following index, I refers to instance parameters, M refers to the model parameters section, O refers to the output parameters section, and OP refers to the operating point parameters section. The number indicates where to look in the appropriate section to find the description for that parameter. For example, a reference of M-35 means the 35th model parameter.

GmoverI      OP-104
idsatrstid      M-705
phigstid      M-702
pwgfacnud      M-141
OPdef      OP-165
idsatsbot      O-110
pkuo      M-634
pwiginv      M-264
SDop      OP-166
idsatsbotd      O-119
pkvtho      M-640
pwigov      M-268
a1      M-68
idsatsgat      O-112
pla1      M-248
pwigovd      M-272
a1l      M-551
idsatsgatd      O-121
pla3      M-254
pwkuowe      M-355
a1o      M-550
idsatssti      O-111
pla4      M-258
pwkvthowe      M-351
a1w      M-552
idsatsstid      O-120
plagidl      M-279
pwmue      M-191
a2      M-69
ifactor      I-35
plagidld      M-283
pwneff      M-133
a2o      M-553
ig      OP-9
plalp      M-235
pwneffedge      M-378
a3      M-71
igb      OP-17
plalp1      M-239
pwnfa      M-338
a3l      M-556
igcd      OP-20
plalp2      M-243
pwnfaedge      M-407
a3o      M-555
igcs      OP-19
plalpac      M-776
pwnfb      M-342
a3w      M-557
igd      OP-16
plax      M-231
pwnfbedge      M-411
a4      M-72
ige      OP-5
plaxac      M-772
pwnfc      M-346
a4l      M-559
igidl      OP-23
plbetn      M-182
pwnfcedge      M-415
a4o      M-558
iginv      M-74
plbetnedge      M-385
pwnov      M-168
a4w      M-560
iginvlw      M-562
plcf      M-175
pwnovd      M-172
abdrain      I-25
igisl      OP-22
plcfac      M-764
pwnp      M-158
absource      I-22
igov      M-75
plcfd      M-178
pwpsce      M-363
ad      I-30
igovd      M-76
plcfedge      M-399
pwpsceedge      M-394
agidl      M-81
igovdw      M-564
plcfr      M-309
pwr      OP-58
agidld      M-82
igovw      M-563
plcfrd      M-313
pwrs      M-209
agidldw      M-570
igs      OP-15
plcgbov      M-305
pwstbet      M-187
agidlw      M-569
ijd      OP-28
plcgov      M-297
pwstbetedge      M-390
alp      M-64
ijdbot      OP-29
plcgovd      M-301
pwstthesat      M-220
alp1      M-65
ijdgat      OP-30
plcinr      M-320
pwstvfb      M-127
alp1l1      M-541
ijdsti      OP-31
plcinrd      M-324
pwstvfbedge      M-370
alp1l2      M-543
ijs      OP-24
plcox      M-293
pwthesat      M-216
alp1lexp      M-542
ijsbot      OP-25
plcs      M-197
pwthesatac      M-769
alp1w      M-544
ijsgat      OP-26
plct      M-161
pwthesatb      M-224
alp2      M-66
ijssti      OP-27
plctedge      M-381
pwthesatg      M-228
alp2l1      M-545
imax      M-648
pldelvtac      M-153
pwvfb      M-123
alp2l2      M-547
is      OP-8
pldphib      M-149
pwxcor      M-203
alp2lexp      M-546
isb      OP-14
pldphibedge      M-373
qb      OP-34
alp2w      M-548
ise      OP-4
plfacneffac      M-136
qd      OP-33
alpac      M-745
isnoisy      I-37
plfntexc      M-333
qfgd      OP-39
alpacl      M-758
ivth      M-866
plgfacnud      M-140
qfgs      OP-38
alpaclexp      M-759
ivth_vdsmin      M-869
pliginv      M-263
qg      OP-32
alpacw      M-760
ivthl      M-868
pligov      M-267
qgb_ov      OP-40
alpl      M-538
ivthw      M-867
pligovd      M-271
qgd_ov      OP-37
alplexp      M-539
jw      I-17
plkuowe      M-354
qgs_ov      OP-36
alpnoi      M-596
kuo      M-629
plkvthowe      M-350
qjun_d      OP-42
alpw      M-540
kuowel      M-602
plmue      M-190
qjun_s      OP-41
as      I-28
kuowelw      M-604
plneff      M-132
qmc      M-15
ax      M-63
kuoweo      M-601
plneffedge      M-377
qs      OP-35
axac      M-744
kuowew      M-603
plnfa      M-337
rbulk      M-114
axacl      M-757
kvsat      M-630
plnfaedge      M-406
rbulko      M-613
axaco      M-756
kvsatac      M-781
plnfb      M-341
rde      M-113
axinr      M-103
kvtho      M-637
plnfbedge      M-410
region      I-15
axinro      M-588
kvthowel      M-598
plnfc      M-345
region      OP-1
axl      M-537
kvthowelw      M-600
plnfcedge      M-414
rg      M-111
axo      M-536
kvthoweo      M-597
plnov      M-167
rg      OP-107
beff      OP-103
kvthowew      M-599
plnovd      M-171
rgate      OP-108
betedgew      M-784
l      I-1
plnp      M-157
rgo      M-606
betn      M-44
l      M-852
plpsce      M-362
rint      M-607
betnedge      M-782
lap      M-421
plpsceedge      M-393
rjund      M-117
betw1      M-496
leff      O-2
plrs      M-208
rjundo      M-616
betw2      M-497
level      M-1
plstbet      M-186
rjuns      M-116
bgidl      M-83
lgdrain      I-27
plstbetedge      M-389
rjunso      M-615
bgidld      M-84
lgsource      I-24
plstthesat      M-219
rout      OP-101
bgidldo      M-572
lintnoi      M-595
plstvfb      M-126
rs      M-55
bgidlo      M-571
lkuo      M-632
plstvfbedge      M-369
rsb      M-57
cbb      OP-80
lkvtho      M-638
plthesat      M-215
rsbo      M-523
cbbtbot      M-677
llodkuo      M-635
plthesatac      M-768
rse      M-112
cbbtbotd      M-718
llodvth      M-641
plthesatb      M-223
rsg      M-58
cbbtgat      M-679
lmax      M-358
plthesatg      M-227
rsgo      M-524
cbbtgatd      M-720
lmin      M-357
plvfb      M-122
rsh      M-611
cbbtsti      M-678
lodetao      M-644
plwa1      M-250
rshd      M-612
cbbtstid      M-719
lov      M-481
plwa3      M-256
rshg      M-609
cbd      OP-77
lovd      M-482
plwa4      M-260
rsw1      M-520
cbg      OP-78
lp1      M-492
plwagidl      M-281
rsw2      M-521
cbs      OP-79
lp1w      M-493
plwagidld      M-285
rth      M-118
cdb      OP-68
lp2      M-495
plwalp      M-237
rthlw      M-620
cdd      OP-65
lp_a1      O-44
plwalp1      M-241
rtho      M-617
cdg      OP-66
lp_a2      OP-137
plwalp2      M-245
rthw1      M-618
cds      OP-67
lp_a3      O-46
plwalpac      M-778
rthw2      M-619
cf      M-42
lp_a4      O-47
plwax      M-233
rvpoly      M-608
cfac      M-742
lp_agidl      O-56
plwaxac      M-774
rwell      M-115
cfacl      M-748
lp_agidld      O-57
plwbetn      M-184
rwello      M-614
cfaclexp      M-749
lp_alp      O-40
plwbetnedge      M-387
sa      I-3
cfactor      I-36
lp_alp1      O-41
plwcf      M-177
saref      M-626
cfacw      M-750
lp_alp2      O-42
plwcfac      M-766
sb      I-4
cfb      M-43
lp_alpac      OP-162
plwcfedge      M-401
sbref      M-627
cfbedge      M-785
lp_ax      O-39
plwcfr      M-311
sc      I-9
cfbedgeo      M-786
lp_axac      OP-161
plwcfrd      M-315
sca      I-6
cfbo      M-488
lp_axinr      OP-146
plwcgbov      M-307
scb      I-7
cfd      M-787
lp_betn      OP-130
plwcgov      M-299
scc      I-8
cfdedge      M-788
lp_betnedge      O-91
plwcgovd      M-303
scref      M-645
cfdedgeo      M-789
lp_bgidl      O-58
plwcinr      M-322
sd      I-5
cfdo      M-790
lp_bgidld      O-59
plwcinrd      M-326
sdi      OP-125
cfedge      M-791
lp_cf      O-21
plwcox      M-295
sdint      OP-3
cfedgel      M-792
lp_cfac      OP-159
plwcs      M-199
self_gain      OP-100
cfedgelexp      M-793
lp_cfb      O-23
plwct      M-163
sfl      OP-109
cfedgew      M-794
lp_cfbedge      O-98
plwctedge      M-383
sfledge      OP-126
cfl      M-485
lp_cfd      O-22
plwdelvtac      M-155
siavl      OP-123
cflexp      M-486
lp_cfdedge      O-97
plwdphib      M-151
sid      OP-112
cfr      M-93
lp_cfedge      O-96
plwdphibedge      M-375
sidedge      OP-127
cfrd      M-94
lp_cfr      O-68
plwfacneffac      M-138
sig      OP-113
cfrdw      M-579
lp_cfrd      O-69
plwfntexc      M-335
sigd      OP-122
cfrw      M-578
lp_cgbov      O-67
plwgfacnud      M-142
sigs      OP-121
cfw      M-487
lp_cgidl      O-62
plwiginv      M-265
sqrtsff      OP-110
cgb      OP-72
lp_cgidld      O-63
plwigov      M-269
sqrtsfw      OP-111
cgbol      OP-89
lp_cgov      O-65
plwigovd      M-273
ssi      OP-124
cgbov      M-92
lp_cgovaccg      OP-140
plwkuowe      M-356
st2vfb      M-870
cgbovl      M-577
lp_cgovd      O-66
plwkvthowe      M-352
st2vfbo      M-876
cgd      OP-69
lp_chib      O-55
plwmue      M-192
sta2      M-70
cgdol      OP-88
lp_cinr      OP-141
plwneff      M-134
sta2o      M-554
cgg      OP-70
lp_cinrd      OP-142
plwneffedge      M-379
stbet      M-45
cgidl      M-87
lp_cox      O-64
plwnfa      M-339
stbetedge      M-783
cgidld      M-88
lp_cs      OP-133
plwnfaedge      M-408
stbetedgel      M-839
cgidldo      M-576
lp_ct      OP-129
plwnfb      M-343
stbetedgelw      M-841
cgidlo      M-575
lp_ctb      O-133
plwnfbedge      M-412
stbetedgeo      M-838
cgov      M-90
lp_ctedge      O-90
plwnfc      M-347
stbetedgew      M-840
cgovaccg      M-97
lp_ctg      OP-158
plwnfcedge      M-416
stbetl      M-500
cgovaccgo      M-582
lp_cth      O-84
plwnov      M-169
stbetlw      M-502
cgovd      M-91
lp_delvtac      O-15
plwnovd      M-173
stbeto      M-499
cgs      OP-71
lp_dnsub      O-13
plwnp      M-159
stbetw      M-501
cgsol      OP-87
lp_dphib      O-14
plwpsce      M-364
stbgidl      M-85
chib      M-80
lp_dphibedge      O-88
plwpsceedge      M-395
stbgidld      M-86
chibo      M-568
lp_dvfbinr      OP-143
plwrs      M-210
stbgidldo      M-574
cigid      OP-114
lp_dvsbnud      O-10
plwstbet      M-188
stbgidlo      M-573
cinr      M-98
lp_ef      O-75
plwstbetedge      M-391
stcs      M-51
cinrd      M-99
lp_efedge      O-103
plwstthesat      M-221
stcso      M-513
cinrdw      M-584
lp_epsrox      O-5
plwstvfb      M-128
stct      M-881
cinrw      M-583
lp_facneffac      O-7
plwstvfbedge      M-371
stcto      M-886
cjd      OP-94
lp_fcgovacc      OP-138
plwthesat      M-217
stetao      M-643
cjdbot      OP-95
lp_fcgovaccd      OP-139
plwthesatac      M-770
stfbbtbot      M-683
cjdgat      OP-96
lp_fcinracc      OP-145
plwthesatb      M-225
stfbbtbotd      M-724
cjdsti      OP-97
lp_fcinrdep      OP-144
plwthesatg      M-229
stfbbtgat      M-685
cjorbot      M-651
lp_feta      O-32
plwvfb      M-124
stfbbtgatd      M-726
cjorbotd      M-692
lp_fnt      O-70
plwxcor      M-204
stfbbtsti      M-684
cjorgat      M-653
lp_fntedge      O-99
plxcor      M-202
stfbbtstid      M-725
cjorgatd      M-694
lp_fntexc      O-71
poa1      M-247
stig      M-77
cjorsti      M-652
lp_gc2      O-53
poa2      M-251
stigo      M-565
cjorstid      M-693
lp_gc2ov      OP-163
poa3      M-253
stmue      M-47
cjosbot      O-104
lp_gc3      O-54
poa4      M-257
stmueo      M-505
cjosbotd      O-113
lp_gc3ov      OP-164
poagidl      M-278
strs      M-56
cjosgat      O-106
lp_gco      O-48
poagidld      M-282
strso      M-522
cjosgatd      O-115
lp_gfacnud      O-8
poalp      M-234
strth      M-120
cjossti      O-105
lp_iginv      O-49
poalp1      M-238
strtho      M-625
cjosstid      O-114
lp_igov      O-50
poalp2      M-242
stthecs      M-872
cjs      OP-90
lp_igovd      O-51
poalpac      M-775
stthecso      M-878
cjsbot      OP-91
lp_mue      OP-131
poax      M-230
stthemu      M-49
cjsgat      OP-92
lp_munqs      O-122
poaxac      M-771
stthemuo      M-507
cjssti      OP-93
lp_neff      O-6
poaxinr      M-330
stthesat      M-60
cm      OP-82
lp_neffedge      O-89
pobetn      M-181
stthesatl      M-531
cmb      OP-83
lp_nfa      O-72
pobetnedge      M-384
stthesatlw      M-533
cmx      OP-84
lp_nfaedge      O-100
pobgidl      M-286
stthesato      M-530
co      OP-81
lp_nfb      O-73
pobgidld      M-287
stthesatw      M-532
compatible      M-889
lp_nfbedge      O-101
pocf      M-174
stvfb      M-23
cox      M-89
lp_nfc      O-74
pocfac      M-763
stvfbedge      M-842
cs      M-50
lp_nfcedge      O-102
pocfb      M-180
stvfbedgel      M-844
csb      OP-76
lp_nov      O-19
pocfbedge      M-403
stvfbedgelw      M-846
csd      OP-73
lp_novd      O-20
pocfd      M-179
stvfbedgeo      M-843
csg      OP-74
lp_np      O-16
pocfdedge      M-402
stvfbedgew      M-845
csl      M-509
lp_nslp      O-12
pocfedge      M-398
stvfbl      M-433
cslexp      M-510
lp_psce      O-24
pocfr      M-308
stvfblw      M-435
cslw      M-512
lp_psceb      O-25
pocfrd      M-312
stvfbo      M-432
cso      M-508
lp_pscebedge      O-94
pocgbov      M-304
stvfbw      M-434
csrhbot      M-666
lp_psced      O-26
pocgidl      M-290
stxcor      M-53
csrhbotd      M-707
lp_pscededge      O-95
pocgidld      M-291
stxcoro      M-518
csrhgat      M-668
lp_psceedge      O-93
pocgov      M-296
swdelvtac      M-13
csrhgatd      M-709
lp_rbulk      O-79
pocgovaccg      M-318
swedge      M-12
csrhsti      M-667
lp_rde      O-78
pocgovd      M-300
swgeo      M-5
csrhstid      M-708
lp_rg      O-76
pochib      M-277
swgidl      M-8
css      OP-75
lp_rjund      O-82
pocinr      M-319
swigate      M-6
csw      M-511
lp_rjuns      O-81
pocinrd      M-323
swign      M-14
ct      M-37
lp_rs      OP-135
pocox      M-292
swimpact      M-7
ctatbot      M-671
lp_rsb      O-34
pocs      M-196
swjunasym      M-10
ctatbotd      M-712
lp_rse      O-77
poct      M-160
swjuncap      M-9
ctatgat      M-673
lp_rsg      O-35
poctb      M-883
swjunexp      M-733
ctatgatd      M-714
lp_rth      O-83
poctedge      M-380
swnqs      M-4
ctatsti      M-672
lp_rwell      O-80
poctg      M-882
swnud      M-11
ctatstid      M-713
lp_st2vfb      O-131
podelvtac      M-152
swqpart      M-741
ctb      M-880
lp_sta2      O-45
podnsub      M-147
swqsat      M-740
ctbo      M-885
lp_stbet      O-27
podphib      M-148
tau1      OP-85
ctedge      M-795
lp_stbetedge      O-92
podphibedge      M-372
tempeff      O-129
ctedgel      M-797
lp_stbgidl      O-60
podvfbinr      M-327
thecs      M-871
ctedgelexp      M-798
lp_stbgidld      O-61
podvsbnud      M-144
thecso      M-877
ctedgeo      M-796
lp_stcs      O-30
poef      M-348
themu      M-48
ctg      M-879
lp_stct      O-134
poefedge      M-417
themuo      M-506
ctgo      M-887
lp_stig      O-52
poepsrox      M-130
thesat      M-59
cth      M-119
lp_stmue      O-28
pofacneffac      M-135
thesatac      M-743
cthlw      M-624
lp_strs      O-33
pofcgovacc      M-316
thesatacl      M-752
ctho      M-621
lp_strth      O-85
pofcgovaccd      M-317
thesataclexp      M-753
cthw1      M-622
lp_stthecs      O-132
pofcinracc      M-329
thesataclw      M-755
cthw2      M-623
lp_stthemu      O-29
pofcinrdep      M-328
thesataco      M-751
ctl      M-475
lp_stthesat      O-36
pofeta      M-206
thesatacw      M-754
ctlexp      M-476
lp_stvfb      O-3
pofnt      M-331
thesatb      M-61
ctlw      M-478
lp_stvfbedge      O-87
pofntedge      M-404
thesatbo      M-534
cto      M-474
lp_stxcor      O-31
pofntexc      M-332
thesatg      M-62
ctw      M-477
lp_thecs      OP-157
pogc2      M-275
thesatgo      M-535
ctype      OP-2
lp_themu      OP-132
pogc2ov      M-779
thesatl      M-526
delvtac      M-35
lp_thesat      OP-136
pogc3      M-276
thesatlexp      M-527
delvtacl      M-468
lp_thesatac      OP-160
pogc3ov      M-780
thesatlw      M-529
delvtaclexp      M-469
lp_thesatb      O-37
pogco      M-261
thesato      M-525
delvtaclw      M-471
lp_thesatg      O-38
pogfacnud      M-139
thesatw      M-528
delvtaco      M-467
lp_tox      O-4
poiginv      M-262
tk      OP-149
delvtacw      M-470
lp_toxov      O-17
poigov      M-266
tkuo      M-631
delvto      I-18
lp_toxovd      O-18
poigovd      M-270
tox      M-24
delvtoedge      I-20
lp_vfb      OP-128
pokuowe      M-353
toxo      M-436
dlq      M-426
lp_vfbedge      O-86
pokvthowe      M-349
toxov      M-38
dlsil      M-610
lp_vnsub      O-11
pomue      M-189
toxovd      M-39
dnsub      M-33
lp_vp      O-43
poneff      M-131
toxovdo      M-480
dnsubo      M-461
lp_vsbnud      O-9
poneffedge      M-376
toxovo      M-479
dphib      M-34
lp_xcor      OP-134
ponfa      M-336
tr      M-3
dphibedge      M-799
lpck      M-444
ponfaedge      M-405
trise      I-16
dphibedgel      M-801
lpckw      M-445
ponfb      M-340
trj      M-649
dphibedgelexp      M-802
lpedge      M-810
ponfbedge      M-409
type      M-2
dphibedgelw      M-804
lpoly      OP-98
ponfc      M-344
u      OP-99
dphibedgeo      M-800
lsdrain      I-26
ponfcedge      M-413
uo      M-489
dphibedgew      M-803
lssource      I-23
ponov      M-166
vbd_max      M-857
dphibl      M-463
lv1      O-124
ponovd      M-170
vbdr_max      M-864
dphiblexp      M-464
lv11      O-127
ponp      M-156
vbirbot      M-654
dphiblw      M-466
lv12      O-128
ponslp      M-146
vbirbotd      M-695
dphibo      M-462
lv13      OP-151
popsce      M-361
vbirgat      M-656
dphibw      M-465
lv14      OP-152
popsceb      M-365
vbirgatd      M-697
dta      M-738
lv2      O-123
popscebedge      M-396
vbirsti      M-655
dtsh      OP-148
lv3      O-125
popsced      M-366
vbirstid      M-696
dvfbinr      M-100
lv36      OP-153
popscededge      M-397
vbisbot      O-107
dvfbinro      M-585
lv37      OP-154
popsceedge      M-392
vbisbotd      O-116
dvsbnud      M-30
lv38      OP-155
pors      M-207
vbisgat      O-109
dvsbnudo      M-458
lv4      O-126
porsb      M-212
vbisgatd      O-118
dwq      M-427
lv51      OP-156
porsg      M-213
vbissti      O-108
ef      M-109
lvarl      M-419
post2vfb      M-873
vbisstid      O-117
efedge      M-805
lvaro      M-418
posta2      M-252
vbrbot      M-686
efedgeo      M-806
lvarw      M-420
postbet      M-185
vbrbotd      M-727
efo      M-594
m      I-34
postbetedge      M-388
vbrgat      M-688
epsrox      M-25
mbe      M-20
postbgidl      M-288
vbrgatd      M-729
epsroxo      M-437
mbeo      M-21
postbgidld      M-289
vbrsti      M-687
facneffac      M-27
meff      O-130
postcs      M-200
vbrstid      M-728
facneffacl      M-449
mefftatbot      M-674
postct      M-884
vbs      OP-150
facneffaclw      M-451
mefftatbotd      M-715
postig      M-274
vbs_max      M-858
facneffaco      M-448
mefftatgat      M-676
postmue      M-193
vbsr_max      M-863
facneffacw      M-450
mefftatgatd      M-717
postrs      M-211
vdb      OP-47
factuo      I-19
mefftatsti      M-675
postthecs      M-875
vds      OP-43
factuoedge      I-21
mefftatstid      M-716
postthemu      M-195
vds_max      M-854
fbbtrbot      M-680
minr      M-17
postthesat      M-218
vdsat      OP-55
fbbtrbotd      M-721
mue      M-46
postvfb      M-125
vdsat_marg      OP-57
fbbtrgat      M-682
mueo      M-503
postvfbedge      M-368
vdss      OP-54
fbbtrgatd      M-723
muew      M-504
postxcor      M-205
vearly      OP-102
fbbtrsti      M-681
mulid0      I-33
pothecs      M-874
version      M-16
fbbtrstid      M-722
mult      I-32
pothemu      M-194
vfb      M-22
fbet1      M-490
munqs      M-110
pothesat      M-214
vfbedge      M-847
fbet1w      M-491
munqso      M-605
pothesatac      M-767
vfbedgeo      M-848
fbet2      M-494
mvt      M-18
pothesatb      M-222
vfbl      M-429
fbetedge      M-807
mvto      M-19
pothesatg      M-226
vfblw      M-431
fcgovacc      M-95
neff      M-26
potox      M-129
vfbo      M-428
fcgovaccd      M-96
neffedge      M-811
potoxov      M-164
vfbw      M-430
fcgovaccdo      M-581
nf      I-10
potoxovd      M-165
vgb_max      M-859
fcgovacco      M-580
nf      M-853
povfb      M-121
vgbr_max      M-862
fcinracc      M-102
nfa      M-106
povfbedge      M-367
vgd      OP-45
fcinracco      M-587
nfaedge      M-812
povnsub      M-145
vgd_max      M-855
fcinrdep      M-101
nfaedgelw      M-813
povp      M-246
vgdr_max      M-860
fcinrdepo      M-586
nfalw      M-591
povsbnud      M-143
vgs      OP-44
feta      M-54
nfb      M-107
poxcor      M-201
vgs_max      M-856
fetao      M-519
nfbedge      M-814
ps      I-29
vgsr_max      M-861
fjunq      M-735
nfbedgelw      M-815
psce      M-822
vgt      OP-52
fjunqd      M-737
nfblw      M-592
psceb      M-823
vjunref      M-734
fknee      OP-120
nfc      M-108
pscebedge      M-824
vjunrefd      M-736
fnt      M-104
nfcedge      M-816
pscebedgeo      M-825
vnsub      M-31
fntedge      M-808
nfcedgelw      M-817
pscebo      M-826
vnsubo      M-459
fntedgeo      M-809
nfclw      M-593
psced      M-827
vp      M-67
fntexc      M-105
ngcon      I-11
pscededge      M-828
vpo      M-549
fntexcl      M-590
noi_cgeff      OP-118
pscededgeo      M-830
vsat      OP-56
fnto      M-589
noi_cigid      OP-119
pscedo      M-829
vsb      OP-46
fol1      M-446
noi_mid      OP-115
psceedge      M-831
vsbnud      M-29
fol2      M-447
noi_mig      OP-116
psceedgel      M-832
vsbnudo      M-457
fqslim      OP-86
noi_migid      OP-117
psceedgelexp      M-833
vth      OP-51
frev      M-650
noisemethod      M-739
psceedgew      M-834
vth0      OP-48
ft      OP-106
nov      M-40
pscel      M-835
vth_drive      OP-53
fug      OP-105
novd      M-41
pscelexp      M-836
vthmod      M-865
gc2      M-78
novdo      M-484
pscew      M-837
vto      OP-49
gc2o      M-566
novo      M-483
psti      M-658
vts      OP-50
gc2ov      M-746
np      M-36
pstid      M-699
w      I-2
gc2ovo      M-761
npck      M-441
pwa1      M-249
w      M-851
gc3      M-79
npckw      M-442
pwa3      M-255
wbet      M-498
gc3o      M-567
npl      M-473
pwa4      M-259
web      M-646
gc3ov      M-747
npo      M-472
pwagidl      M-280
wec      M-647
gc3ovo      M-762
nrd      I-14
pwagidld      M-284
wedge      M-849
gco      M-73
nrs      I-13
pwalp      M-236
wedgew      M-850
gcoo      M-561
nslp      M-32
pwalp1      M-240
weff      O-1
gds      OP-62
nslpo      M-460
pwalp2      M-244
wkuo      M-633
gfacnud      M-28
nsubedgel      M-818
pwalpac      M-777
wkvtho      M-639
gfacnudl      M-453
nsubedgelexp      M-888
pwax      M-232
wlod      M-628
gfacnudlexp      M-454
nsubedgelw      M-820
pwaxac      M-773
wlodkuo      M-636
gfacnudlw      M-456
nsubedgeo      M-821
pwbetn      M-183
wlodvth      M-642
gfacnudo      M-452
nsubedgew      M-819
pwbetnedge      M-386
wmax      M-360
gfacnudw      M-455
nsubo      M-438
pwcf      M-176
wmin      M-359
gjd      OP-64
nsubw      M-439
pwcfac      M-765
wot      M-425
gjs      OP-63
pbot      M-657
pwcfedge      M-400
wseg      M-440
gm      OP-59
pbotd      M-698
pwcfr      M-310
wsegp      M-443
gmb      OP-60
pbrbot      M-689
pwcfrd      M-314
wvarl      M-423
go      OP-61
pbrbotd      M-730
pwcgbov      M-306
wvaro      M-422
iavl      OP-21
pbrgat      M-691
pwcgov      M-298
wvarw      M-424
ib      OP-11
pbrgatd      M-732
pwcgovd      M-302
xcor      M-52
ibe      OP-7
pbrsti      M-690
pwcinr      M-321
xcorl      M-515
id      OP-10
pbrstid      M-731
pwcinrd      M-325
xcorlw      M-517
idb      OP-13
pd      I-31
pwcox      M-294
xcoro      M-514
ide      OP-6
pdiss      OP-147
pwcs      M-198
xcorw      M-516
idedge      OP-18
pgat      M-659
pwct      M-162
xgw      I-12
ids      OP-12
pgatd      M-700
pwctedge      M-382
xjungat      M-670
idsatrbot      M-663
phigbot      M-660
pwdelvtac      M-154
xjungatd      M-711
idsatrbotd      M-704
phigbotd      M-701
pwdphib      M-150
xjunsti      M-669
idsatrgat      M-665
phiggat      M-662
pwdphibedge      M-374
xjunstid      M-710
idsatrgatd      M-706
phiggatd      M-703
pwfacneffac      M-137
idsatrsti      M-664
phigsti      M-661
pwfntexc      M-334

Return to top
 ⠀
X