Model Equations
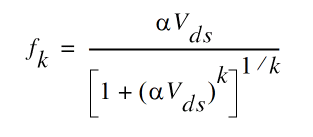
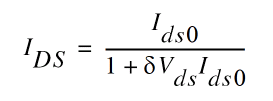
Channel Current Ids
TOM2
TOM3/TOM3V1
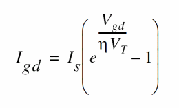
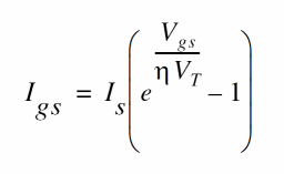
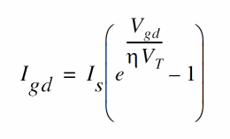
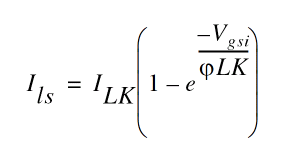
Gate Current Ig
TOM2
TOM3/TOM3V1
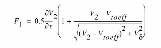
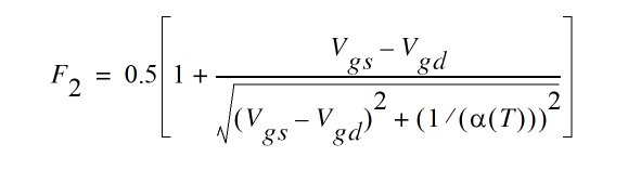
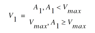
Gate Capacitance
TOM2
In the TOM2 model, the calculation of capacitances follows the Statz charge model.
TOM3/TOM3V1
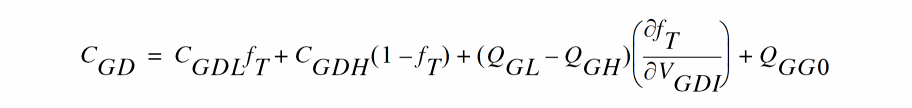
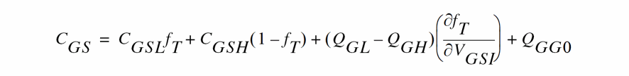
In the TOM3 model, the low and high power capacitance is combined with a transition function.
High power gate charge/capacitance
Low Power Gate Charge
Transition Function
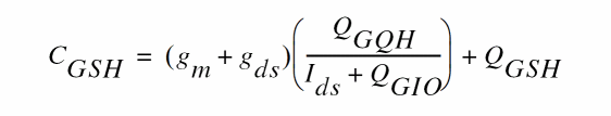
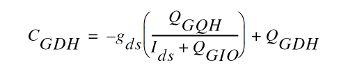
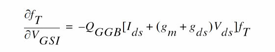
The derivatives are as follows:
Combined Gate Charge/Capacitance
TOM3V1
capmod=1
capmod=2
Temperature Effect
TOM2
TOM3/TOM3V1
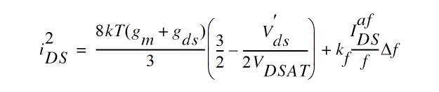
Noise Model
Source Resistance Thermal Noise
Drain Resistance Thermal Noise
Channel Conductance Thermal and Flicker Noise
Gate Resistance Thermal Noise (TOM3V1)
Channel Conductance Thermal and Flicker Noise (TOM3V1)
Related Topics
TriQuint Owned Models (tom2 and tom3/tom3v1)
New features from TOM3 to TOM3v1
Return to top











