Level-1 Model
The following effects are included in the junction diode model: forward characteristics, reverse leakage current, breakdown, parasitic resistance, diffusion capacitance, depletion capacitance, and overlap capacitance.
To achieve better scaling, a sidewall (peripheral) diode can also be specified. The peripheral diode shares most model parameters with the main diode except for the following parameters: isw, ns, cjsw, mjsw, fcsw, rsw, gleaksw, ctp, and ptp. If the sidewall parasitic resistance (rsw) is not specified, the peripheral diode shares the same parasitic resistance with the main diode. That is, both the main and the peripheral diodes are connected to the same internal nodes. If rsw is specified, the peripheral diode creates its own internal node. In this case, the peripheral and main diode are equivalent to connecting two diodes in parallel.
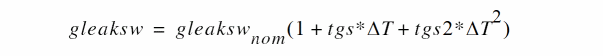
The leakage currents are modeled by putting two small conductances (gleak and gleaksw) in parallel with the intrinsic diodes.
DC Current
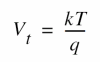
where Vt is the thermal voltage given by
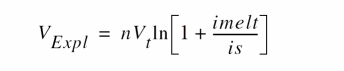
is the forward explosion voltage,
is the conductance at VExpl, and
is the current linearly extrapolated to V = 0 from VExpl.
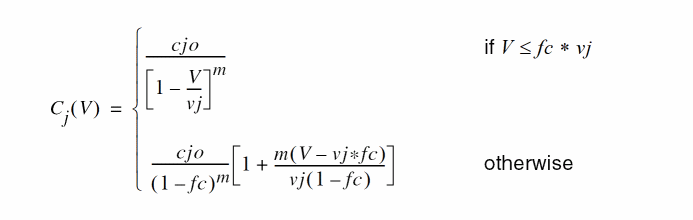
Junction Capacitance
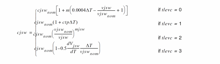
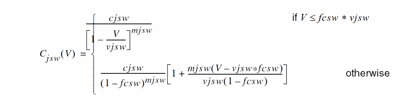
Peripheral Junction Capacitance
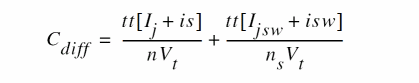
Diffusion Capacitance
Total Capacitance
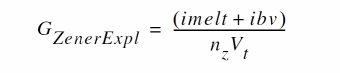
Breakdown Current
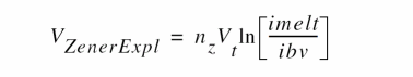
is the zener explosion voltage,
is the conductance at VZenerExpl,
is the current linearly extrapolated to V = 0 from VZenerExpl. The breakdown current is not modeled in the peripheral diode.
Temperature Effect
Energy Band Gap
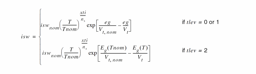
Junction Currents
Note: in the above equation, when
is not specified, the default band gap is temperature dependent as specified by
. The temperature dependence can be turned off by specifying
in the model card or by setting the option compatible to something other than Spectre® circuit simulator (for example compatible = spice).
Breakdown Voltage
Parasitic Resistance
Leakage Conductance
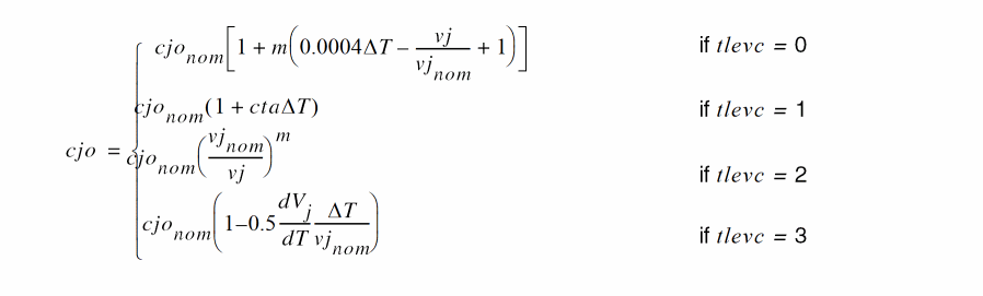
Junction Potential
Junction Capacitance
Related Topics
Return to top




