Noise Model
Series Resistance Thermal Noise
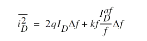
Diode Shot and Flicker Noise
where kf and af are constants for a given device. The Spectre® circuit simulator defaults for these constants are 0.0 and 1.0, respectively.
Scaling Effects
The following are the Spectre scaling effects:
- is, cjo, cd, and ibv are multiplied by area and m.
- rs is divided by area and m.
- All noises are multiplied by area and m.
- isw and cjsw are multiplied by perim and m for the peripheral diode.
- rsw is divided by perim and m.
- If area is not specified and l and w are specified, area is calculated from l and w as
If area, w, and l are not specified on the instance line, and area is specified on the model card, then area = areamodel.
Otherwise, area defaults to 1.
If perim, l, and w are not specified on the instance line, and perim is specified on the model card, then perim = perimmodel.
Otherwise, perim defaults to 0.
The model parameter allow_scaling controls scaling of diode geometry parameters (area, perim, l, and w) by the scale option. If allow_scaling is set to yes, then the l, w, and perim device parameters are multiplied by scale, while area is multiplied by scale2. By default, allow_scaling is no.
If scale is specified on the diode instance line, then this value overrides the value of the scale option for this particular instance, although it is still only used if allow_scaling is yes on the corresponding diode model card.
Related Topics
Return to top