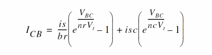
DC Current
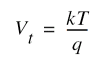
where Vt is the thermal voltage given by
The intact equation for QB and nkf is:
When nkf=0.5, the QB equation is:
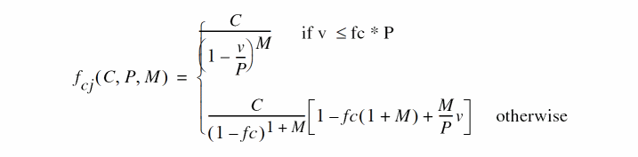
where fcj is defined as follows:
If ise (isc) is not given and C2 (C4) is specified, ise (isc) is calculated from
Related Topics
Return to top



