HiCUM Model Version 2.3
HICUM/L2 version 2.30 has been developed to a large extent within the framework of the European DOTFIVE project. This HICUM/L2 version has been improved from its present official version (v2.24) in order to meet the requirements for emerging mm-wave applications. Following is a brief overview of the new improvements and additions in the new model.
Improvements in the model equations
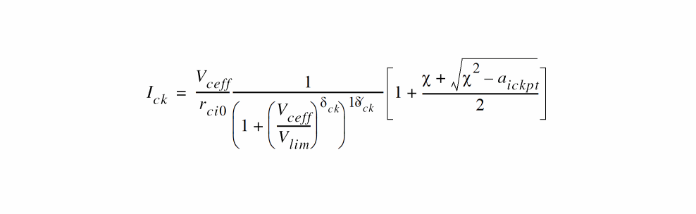
Formulation for the critical current (ICK)

where
is the new mode parameter.
Weight factors
Weight factor for low current transit time
A new weight factor hf0 for the low current minority charge has been introduced.

where,
VgBE is the new model parameter and defined as the bandgap difference between base and BE-junction, used for hjEi0 and hf0.
Weight factor of BE depletion charge
In this version, the BE-depletion charge weight factor hjEi is modeled as bias dependent with the following equations:

Where, ahjEi is the new model parameter.
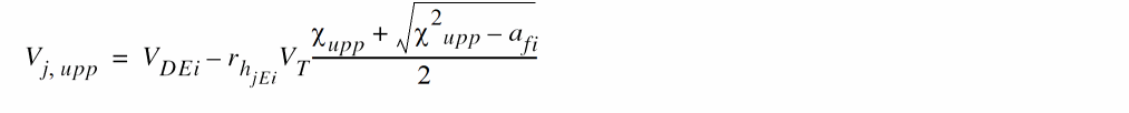
The junction voltage is limited to VDEi and 0 by:


where, rhjEi is the newly introduced model parameter.
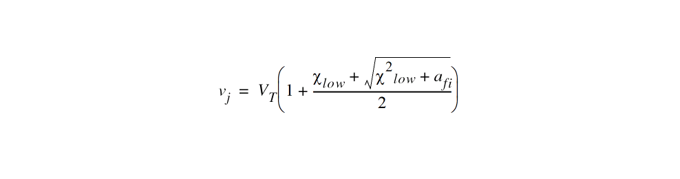
The voltage has been further limited to values greater than zero using the following equations:


The temperature dependence of hJEi and rhjEi is given by:


and
are the fitting parameters.
High current weight factors
Temperature dependences for hfE and hfC have been considered in the new model.


To enable full backward compatibility to previous versions of HICUM, the parameter flcomp needs to be set to 2.3, or more to turn on these models.
Transit Times
Barrier voltage
The barrier related term is calculated by the bias dependent barrier voltage:


Barrier related minority charge
The high current minority charge expression has been extended by adding the barrier related part:
The new formulation for the barrier related minority charge reads as follows:

With the already existing parameter:
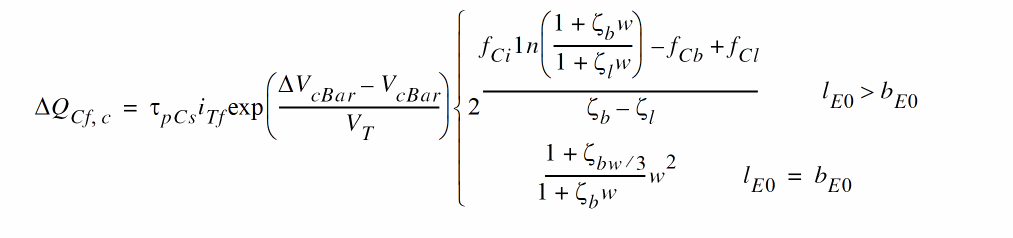
High current charges
Considering the “Kirk effect” the following expression can be obtained:

The high current collector charge including current spreading can be expressed as:

Emitter transit time
The temperature dependence of the emitter transit time has been removed. However, by setting flcomp to 2.2 or lower, the former existing equation will still be available.
Lateral non-quasi-static (NQS) effect
The formulation has been switched back to that of HICUM/L2 version 2.23.
Temperature dependence of thermal resistance
In this version, the thermal resistance (Rth) has been modeled as temperature dependent.

where,
is the temperature coefficient of Rth and a new model parameter.
Temperature dependence of internal BE recombination current
The current equation has been modified, within the existing simplifying assumptions, by replacing “1/2” with “1/mREi”

Temperature dependence of peripheral BE recombination current
In the same way the with peripheral BE recombination current has been modified:

Noise source of the emitter resistance
Based on measurements presented in an additional flicker noise contribution has been introduced for the series emitter resistance RE. The total noise contribution becomes:

where, the first component represents the flicker noise and second the thermal noise.
Related Topics
Spectre HICUM Model Compared to Public HICUM Model
Return to top