NQS effect
Lateral NQS
The lateral NQS effect is implemented by an adequate capacitance CrBi in parallel to the resistance rBi.
Vertical NQS
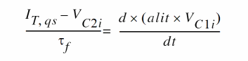
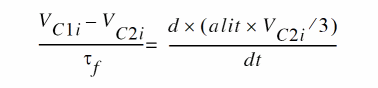
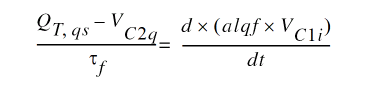
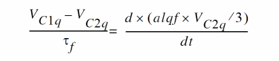
Vertical NQS effects are implemented through “additional delay times” for both minority charge Qf and forward transfer current iTf. The figure below shows the adjunct NQS networks for Transfer Current iT and Minority Charge Qr.

Related Topics
Spectre HICUM Model Compared to Public HICUM Model
Return to top





