Product Documentation
Spectre Circuit Simulator Components and Device Models Reference
Product Version 23.1, June 2023

Temperature Effects

where vg can be replaced with vgbe, vgbc, or vgsc

/

Noise Model

The equivalent noise current source is used for thermal noise in ohmic resistance:

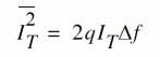
Shot noise is assumed for transfer current

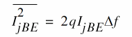
Shot noise for current across BE junction is taken into account in the following equation

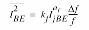
A flicker noise source is implemented for the BE junction

Other Effects

Self-heating is included to overcome one of the most significant deficiencies of the SGPM for advanced processes including III-V HBTs.

Related Topics

Equivalent Circuit

Model Version Updates

HiCUM Level-0 Model (bht0)


Return to top
 ⠀
X