Models and Equations in Version 1.30
Improved model formulations for the HICUM/L0 transfer current
The improvements can be categorized by:
Bias Dependence
Low and Medium Current Range
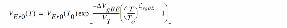
The equation for reverse Early voltage is:


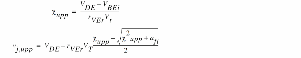
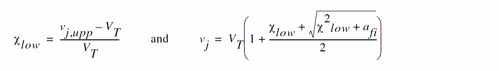
Here, VEr0 is the Early voltage for zero volt and aVEr the parameter describing the change of the Early voltage. The junction voltage is limited to the range (0, VDEi) as follows:

rVErVT is used rather than VT since it allows a smooth transition to voltages larger than VDE.
The limitation to values larger zero is realized by:

The parameters VDE and j used here are the same as for the electrostatic capacitance. For simplification, the parameter rVEr is set to a fixed value of two, which is sufficient for all verifications. However, to allow full backward compatibility the parameter set for the DC charge VDEDC, zEDC and ajEDC is still kept separately from that of the AC charge, although the values may be the same. Therefore, the DC-charge formulation can still be used in the new version and the bias dependence of VEr can be turned off by settings aVEr to zero.
High Current
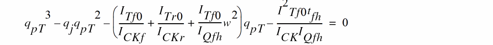
The transfer current equation for high current effects has been changed. In earlier versions, a second order polynomial (with bias dependent coefficients) was used for the whole range. However, a more physical description results in a third order polynomial function (resulting from g
fE=1 in HICUM/L2). The third order polynomial reads:

The above equation can be solved with respect to qpT.
The following is the transfer current equation for modeling the high current effects:


Temperature Dependence
Medium Bias Range
The medium bias range is dominated by the temperature dependence of the saturation current and reverse Early voltage. The temperature dependence of the saturation current is kept untouched. The reverse Early voltage itself becomes temperature dependent. Two effects need to be taken into account.
First, the Early voltage at zero volt changes due to the different bandgap in the base and the BESCR. This bandgap difference is used as a parameter along with a non-idealitiy parameter. The equation itself reads:

Additional, the parameter describing the Early voltage change also changes due to the temperature voltage VT and the temperature induced moving of the SCR-boundary. Both effects are modelled using one temperature coefficient.
High Current Effects
The temperature dependence of IQf is given by:

Due to different bandgap voltages in the transistor, high current effects may become also temperature dependent. Since for IQfh, minorities in different regions of the transistor are taken into account, a simple second order polynomial fit is applied, as follows:


The temperature dependence of tfh is given by:

Related Topics
Depletion Charges And Capacitances
Return to top