Excess Phase
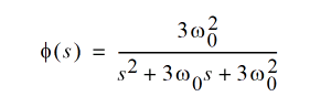
In an actual device, the measured phase shift is often larger than the shift predicted by the lumped model. The excess-phase parameter ptf accounts for this extra phase shift at high frequencies. An all-pass, second-order Bessel function filter creates this extra phase shift. The frequency response of this filter is
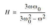
and the phase shift due to this filter is
The value of ptf is usually the excess phase shift of transconductance measured at frequency f = 1(2πtf). The value of ptf should not be less than zero. SPICE does not implement the actual Bessel filter, which requires two more internal nodes for each BJT device. Instead, SPICE uses second-order numerical integration in the device code. This approach sometimes causes convergence problems. However, to remain compatible with SPICE, the Spectre® circuit simulator follows the SPICE method.
Related Topics
Return to top
