Product Documentation
Spectre Circuit Simulator Components and Device Models Reference
Product Version 23.1, June 2023

Noise Model

Base Resistance Thermal Noise

Collector Resistance Thermal Noise

Emitter Resistance Thermal Noise

Collector Shot Noise Source

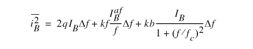
Base Shot, Flicker, and Burst Noise Sources

where kf, af, kb, and fc are constants for a given device. The Spectre defaults for these constants are 0.0, 1.0, 0.0, and 1.0 respectively.

Related Topics

Excess Phase

Temperature Effect

Scaling Effects

BJT Model (bjt)


Return to top
 ⠀
X