Temperature Effect
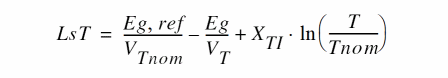
Energy Gap
For tlev=0, 1, or 3



For tlev=2





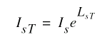
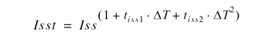
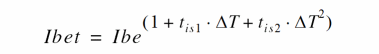
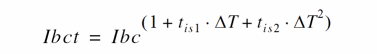
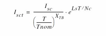
Saturation Current
For tlev=0 and tlev=2



For tlev=1






For tlev=3






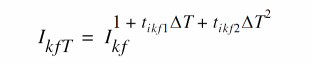
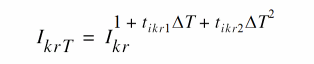
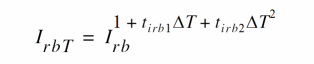
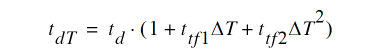
Parameters Ikf, Ikr, and Irb are modified as follows.
For tlev=0, 1, or 2



For tlev=3



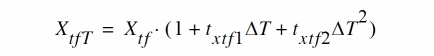
Degree Factor
For tlev=0, 1, or 3

For tlev=2

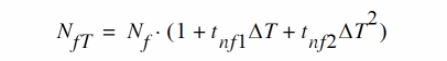
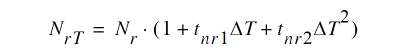
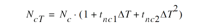
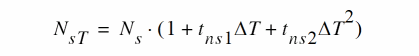
Current Gains (Bf, Br)
For tlev=0, 2, or 3
For tlev=1


If coefficients are specified,


















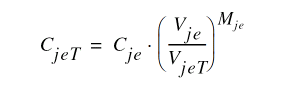
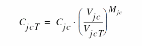
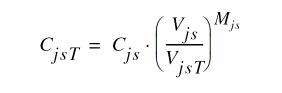
Junction Capacitors (cjc, cje, and cjs)
For tlevc=0
where

where

where

For tlevc=1

where


where


where

For tlevc=2

where


where


where

For tlevc=3

where


where


where

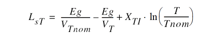
Parasitic Resistors (rb, rc, and re)

Related Topics
Excess Phase
Noise Model
Scaling Effects
BJT Model (bjt)
Return to top