Product Documentation
Spectre Circuit Simulator Components and Device Models Reference
Product Version 23.1, June 2023

Model Equations

Calculation of Internal Parameters (including Temperature Scaling)

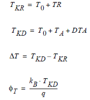
Calculation of Transistor Temperature

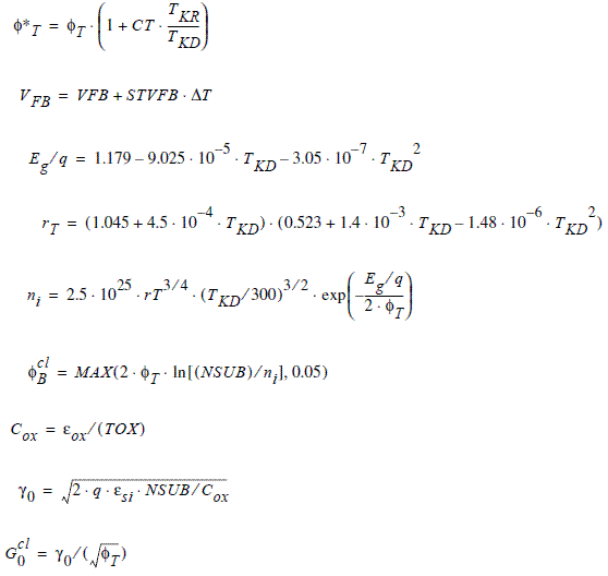
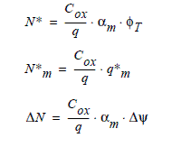
Calculation of Local Process Parameters

Calculation of Polysilicon Depletion Parameter

Calculation of Quantum-Mechanical Correction Parameters

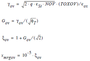
Calculation of Local Process Parameters in Gate Overlap Regions

Calculation of Lateral Gradient Factor Parameters

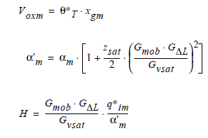
Calculation of Mobility Parameters

Calculation of Series Resistance Parameters

Calculation of Velocity Saturation Parameter

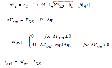
Calculation of Impact-Ionization Parameter

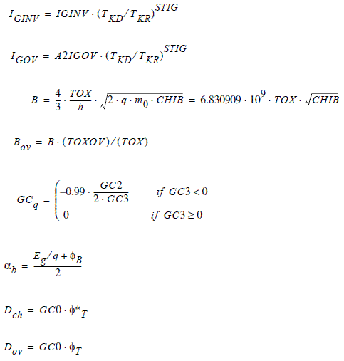
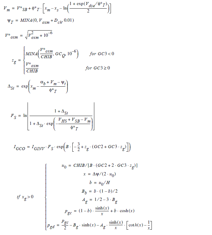
Calculation of Gate Current Parameters

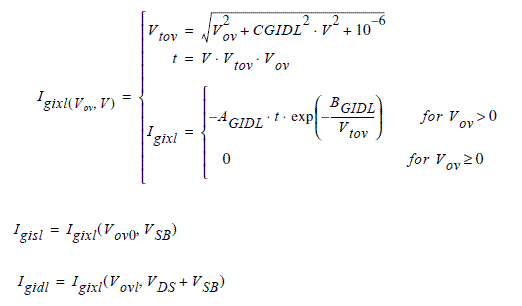
Calculation of Gate–Induced Drain Leakage Parameters

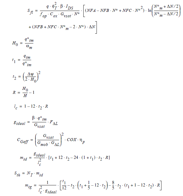
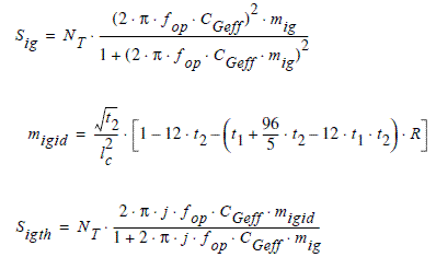
Calculation of Noise Parameter

Calculation of Additional Internal Parameters

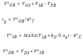
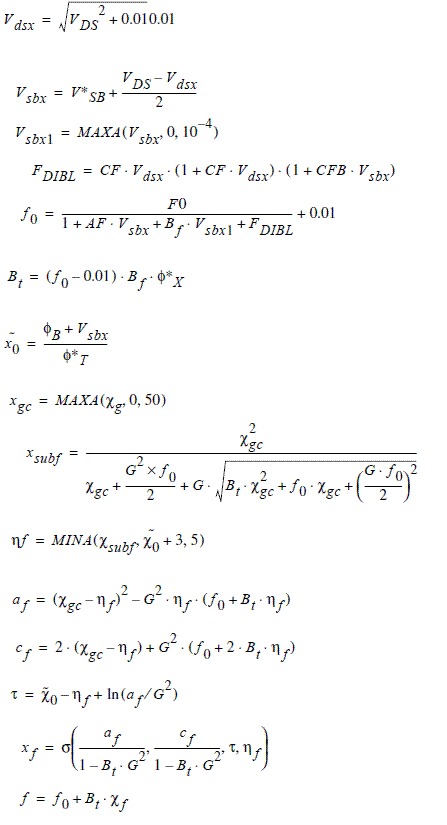
Conditioning of Terminal Voltages

Bias-Dependent Body Factor

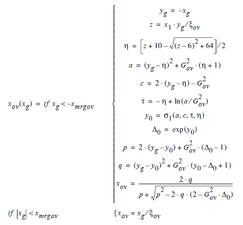
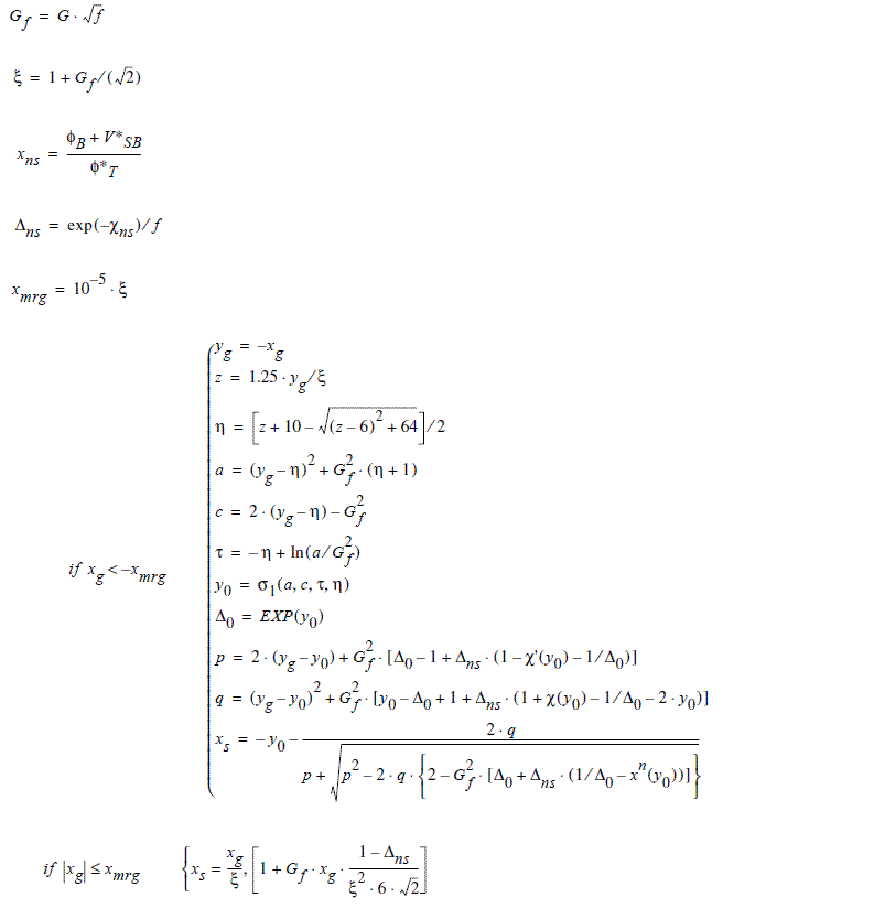
Lateral Gradient Factor

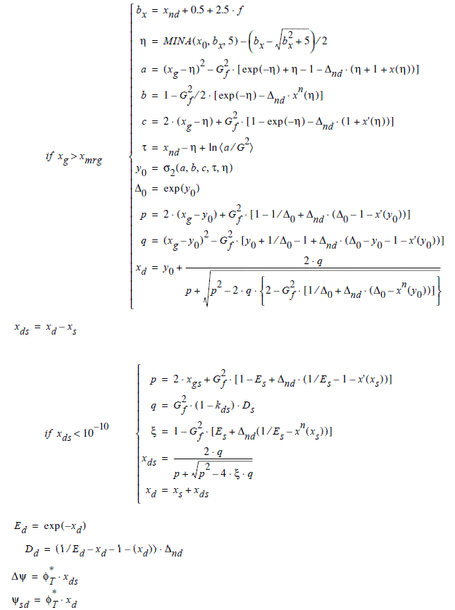
Surface Potential at Source Side and Related Variables

The values of Es, Ds, and Ps are calculated only for xg>0.

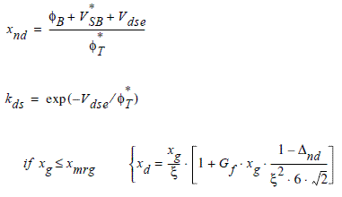
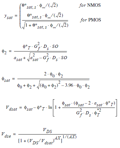
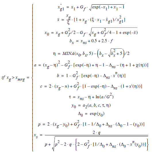
Drain Saturation Voltage

All the equations in this sections have been calculated for xg>0.

Surface Potential at Drain Side and Related Variables

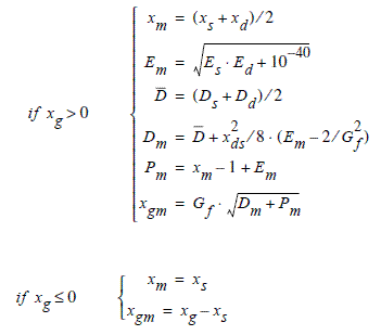
Mid-Point Surface Potential and Related Variables

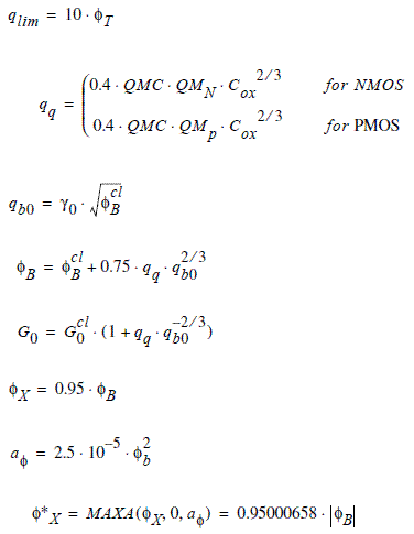
Polysilicon Depletion

The equations in this section are only calculated for kP > 0 and xg > 0 (otherwise ηp = 1).

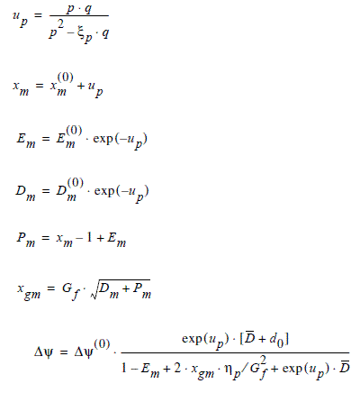
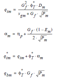
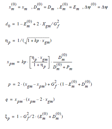
Potential Mid-Point Inversion Charge and Related Variables

The equations in this section are only calculated for xg > 0.

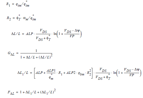
Series Resistance

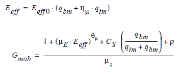
Mobility Reduction

Drain-Source Channel Current

Channel Length Modulation

Velocity Saturation

Drain-Source Channel Current

Variables for Calculation of Intrinsic Charges and Gate Current

The equations in this section are calculated only for xg > 0.

Impact Ionization or Weak-Avalanche

The equations in this section are calculated when SWIMPACT = 1 and only for xg > 0.

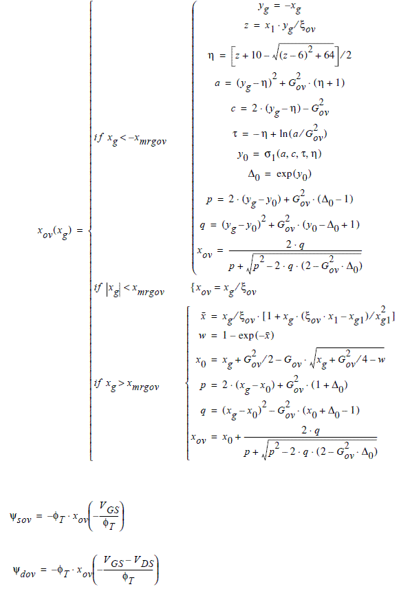
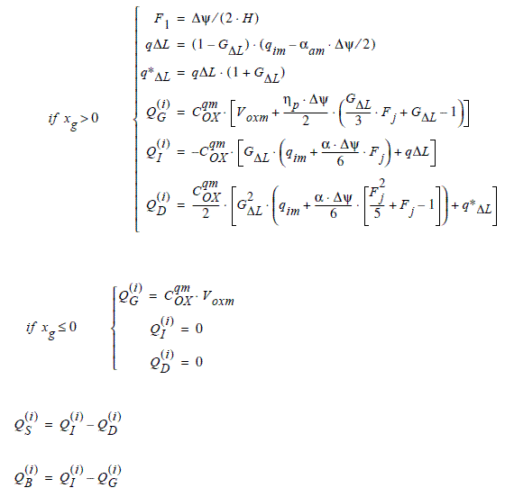
Surface Potential in Gate Overlap Regions

Gate Current

The equations in this section are calculated when SWIGATE = 1.

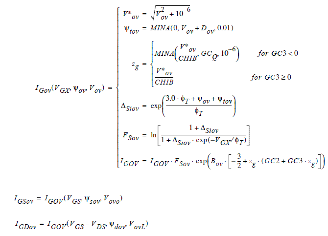
Source/Drain Gate Overlap Current

The gate tunneling currents in both gate/source and gate/drain overlap are given by:

Gate-Channel Current

Gate-Induced Drain/Source Leakage Current

The equations in this section are calculated when SWGIDL = 1.

Total Terminal Currents

Quantum-Mechanical Corrections

Intrinsic Charge Model

Extrinsic Charge Model

The charges of the source and drain overlap regions

The charge of the bulk overlap region

Inner fringe charge correction

Outer fringe charge

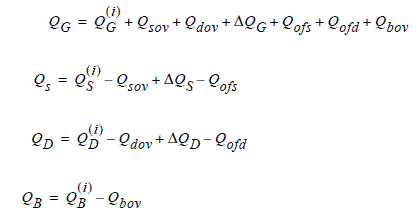
Total Terminal Charges

Noise Model

The equations in this section are only calculated for xg > 0. In these equations fop represents the operation frequency of the transistor and j = -11/2.

Gate Current Shot Noise

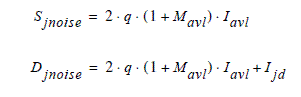
Avalanche Current Shot Noise

Related Topics

PSP102 Model

Model Usage

History and Development

Structure of PSP102

Geometrical Scaling and Stress Model for Intrinsic MOSFET

Non-Quasi-Static (NQS) RF Model

Component Statements for PSP102 Models


Return to top
 ⠀
X