Non-Quasi-Static (NQS) RF Model
For high-frequency modeling and fast transient simulations, a special version of the PSP model is available, which enables the simulation of non-quasi-static (NQS) effects, and includes several parasitic resistances.
Qi is the charge density at the i-th collocation point and fi are functions, which contain the complete PSP-charge model.
Parasitics Circuit

Additional NQS and RF Parameters
The PSP-NQS model has a few additional parameters, which are described in the tables below. The allowed values for the parameter SWNQS are 0, 1, 2, 3, 5, and 9. If SWNQS = 0, then NQS effects are switched off, i.e. the intrinsic MOS model is identical to the standard PSP-model (however, the parasitics-circuit is still in place). If SWNQS is nonzero, it indicates the number of collocation points to be used in the NQS-calculations. A higher value increases the accuracy, but leads to an increased computational burden.
Additional Parameters for Global NQS Model
| Name | Unit | Default | Min | Max | Description |
|---|---|---|---|---|---|
Geometrical Scaling Rules for the NQS RF Model
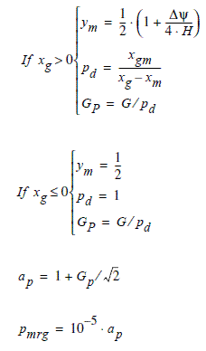
Although the parasitic resistances are (in general) dependent on geometry, the actual form of this dependency is be strongly influenced by the device layout. For this reason, L and W dependence of these resistances is currently not included in PSP; the correct values must be supplied manually for each geometry.
The following (trivial) scaling rules are included for the NQS-model.
Equations for the NQS RF Model
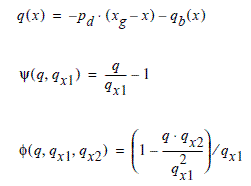
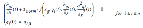
In this section, y denotes the (normalized) position along the channel (y = 0 is source side, y = 1 is drain side), while x denotes the surface potential (normalized to φ*T) at a certain position.
In PSP 101.0 and before, only SWNQS=0,1,2,3,5,9 are allowed.
Initial Values
First Loop
Second Loop (Back Substitution)
Position Independent Quantities
Position Dependent Surface Potential and Charge
Interpolated (quasi-static) surface potential along the channel:
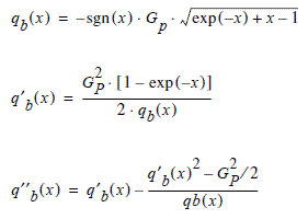
Normalized bulk-charge and its first two derivatives as functions of surface potential:
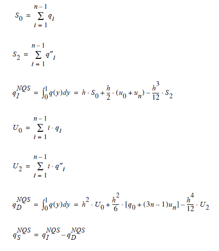
Normalized right-hand-side of continuity equation
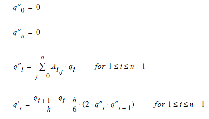
Cubic Spline Interpolation
Continuity Equation
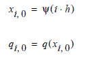
x0,0=xs and xn,0=xd. Also, these values coincide with those in the quasi-static part of PSP.
The core of the NQS-model is the solution of q(y, t) from the charge continuity equation along the channel. By approximating the y-dependence by a cubic spline through a number of collocation points, the problem is reduced to solving the qi(t) from the following set of coupled differential equations.
The boundary points q0(t) = q(xs) = qis and qn(t) = q(xd) = qid remain fixed to their quasi-static values; they are not solved from the equation above.
Non-Quasi-State Terminal Charges
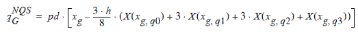
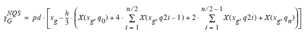
Currently, only SWNQS = 0; 1; 2; 3; 5; 9 are allowed. For odd values of SWNQS, the gate charge is integrated along the channel using Simpson’s rule. If SWNQS = 2, Simpson’s 3=8-rule is used.
Converting back to conventional units:
Related Topics
Geometrical Scaling and Stress Model for Intrinsic MOSFET
Component Statements for PSP102 Models
Return to top