Geometrical Scaling and Stress Model for Intrinsic MOSFET
The physical geometry scaling rules of PSP have been developed to give a good description over the whole geometry range of CMOS technologies. The parameters for which no scaling rules are specified appear in both the list for the physical geometrical scaling rules and the list for the electrical model and can be copied. When the stress model is used, only the parameters for which shifts or multiplication factors are defined in Parameter Modification due to Stress Effects are affected.
Geometrical Scaling Rules
Calculation of Transistor Geometry
Figure -1 Dimensions of a MOS Transistor
Calculation of Geometry-Dependent Parameters using Physical Scaling Rules
Calculation of Process Parameters
Calculation of Lateral Gradient Factor Parameters
Calculation of Mobility Parameters
Calculation of Series Resistance Parameters
Calculation of Velocity Saturation Parameters
Calculation of Saturation Voltage Parameters
Calculation of Channel Length Modulation (CLM) Parameters
Calculation of Impact Ionization (II) Parameters
Calculation of Gate Current Parameters
Calculation of Gate-Induced Drain Leakage (GIDL) Parameters
Calculation of Charge Model Parameters
Calculation of Noise Model Parameters
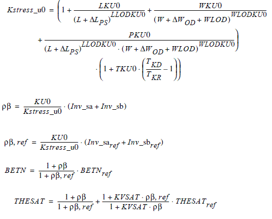
Parameter Modification due to Stress Effects
The stress model of BSIM4.4.0 has been adopted in PSP without any modifications. The PSP parameters affected are BETN, THESAT, VFB, AF, and CF.
Layout Effects for Regular Shapes

Figure -2 Typical layout of a MOSFET. LOD = SA + SB + L, where OD is gate oxide definition
Layout Effects for Irregular Shapes
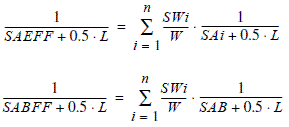
For irregular shapes, the following effective values for SA and SB are to be used. You have to provide these values manually or by a layout extraction tool.
Figure: A typical layout of MOS devices with more instance parameters (SWi, SAi and SBi) in addition to the traditional L and W)
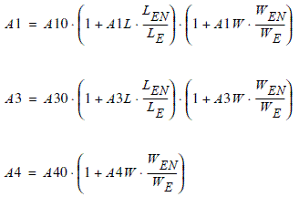
Calculation of Parameter Modifications
Mobility-Related Equations
Threshold-Voltage-Related Equations
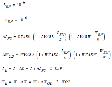
Well Proximity Effects
The well proximity effect (WPE) model from BSIM4.5.0 has been adopted in PSP with two changes relative to BSIM4.5.0:
- In the original BSIM parameter names all zeros have been replaced by ‘O’s in order to comply with PSP naming convention.
- The BSIM parameter K2WE is not available in PSP. Except for some trivial conversion of parameters BSIM-PSP, WPE parameters from BSIM can be used directly in PSP.
The local PSP parameters affected by the WPE equations are VFB and BETN.
After modification of the local parameters by the WPE equations, clipping is applied according to the Intrinsic Parameters for the model section.
- If SCA, SCB, SCC and SC are all set to 0, the WPE equations are not computed.
- The WPE equations are calculated when SWGEO = 1 or 2.
Parameters for Pre-layout Simulation
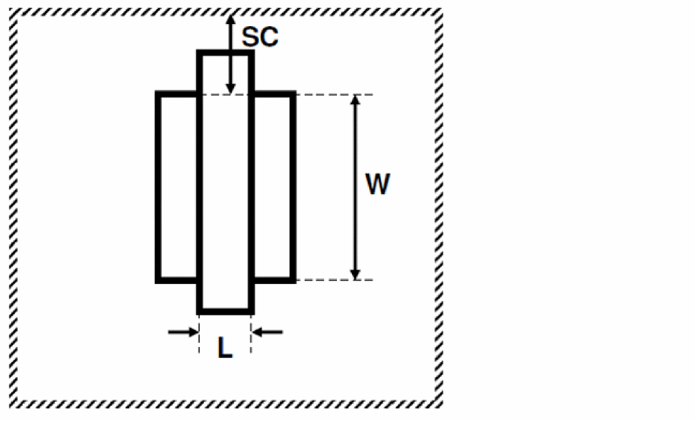
If SCA = SCB = SCC = 0 and SC > 0, SCA, SCB, and SCC will be computed from SC as shown below. Here, SC should be taken as the distance to the nearest well edge (see figure below). If any of the parameters SCA, SCB, or SCC are positive, all three values as supplied will be used and SC will be ignored.
If SCA = SCB = SCC = 0 and SC > 0

The following figure shows a layout of MOS devices for pre-layout simulation using estimated value for SC.


Calculation of Parameter Modifications
The calculation of Kvthowe and Kuowe is given in sections for Global Model or Binning Model.

Asymmetric Junctions
From PSP 102.3 onward, asymmetric junction can be modeled in PSP. This includes asymmetric source-bulk and drain-bulk junctions, GIDL/GISL, overlap gate currents, overlap capacitances and outer fringe capacitances. The asymmetric junction model can be switched on by using the parameter SWJUNASYM. If SWJUNASYM = 1, the new parameters for the drain side are used all together. Those whose values are not explicitly specified in the model card are set to their default value, not to their counterparts for the source side. In other words, it is not possible to activate the parameters for the drain side on a one-by-one basis. The physical scaling and binning rules to calculate the related local parameters for the drain side are given separately in this chapter.
If SWJUNASYM = 0, the related parameters for the drain side are ignored. Effectively, the following assignments are applied before evaluation of the calculations described in the next section.

Related Topics
Non-Quasi-Static (NQS) RF Model
Component Statements for PSP102 Models
Return to top