BSIM4 Version 7.0
GIDL/GISL Model
A new model selector GIDLMOD=1 is introduced to decouple Vd from Vg through new parameters RGIDL, KGIDL and FGIDL (same for GISL).

DIBL/Rout Model
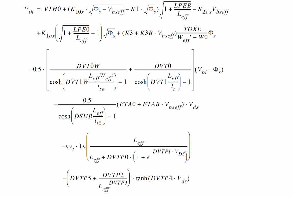
A new function tanh() is introduced to capture the Vds effect in long channel devices.

where DVTP2, DVTP3, DVTP4, and DVTP5 are new model parameters.
Temperature Dependence of Subthreshold Leakage Current
The new temperature dependence of subthreshold leakage current is modeled by:

where tnfactor, TETA0, and tvoffCV are the new model parameters.
New Model Selector for MTRLMOD=0 and MTRLMOD=1 Compatibility
A new model selector MTRLCOMPATMOD=1 is introduced to make MTRLMOD=0 and MTRLMOD=1 consistent.
Physical Oxide Thickness
When MTRLMOD=1 and MTRLCOMPATMOD=1
Effective Field for Mobility Calculation

With MTRLCOMPATMOD=1 and MTRLMOD=1
Enhanced Thermal Noise Model
A new thermal noise model tnoimod=2 has been implemented in SPICE3. Following new expressions have been added for drain noise (Sid), induced gate noise (Sig) and correlation coefficient (c):
Drain Noise
Induced Gate Noise

Correlation Coefficient



Mobility Models
BSIM4.80 introduces three new mobility models mobmod=4, mobmod=5, and mobmod=6. See equations 22-31, 22-32, and 22-33 for details.
Related Topics
Return to top